题目
A.分子电子、振动、转动能级的跃迁
B.分子中转动、平动能级的跃迁
C.分子振动、转动能级的跃迁
D.分子中电子的能级跃迁
更多“红外吸收光谱的产生是由于()。 A.分子电子、振动、转动能级的跃迁 B.分子中转动、平动能级的跃迁 C.分子振”相关的问题
第1题
红外吸收光谱的产生是由于()
A.分子外层电子、振动、转动能级的跃迁
B.原子外层电子、振动、转动能级的跃迁
C.分子振动-转动能级的跃迁
D.分子外层电子的能级跃迁
第2题
基于分子的振动、转动能级跃迁产生的吸收光谱
A.红外吸收光谱
B.荧光分析法
C.紫外一可见吸收光谱
D.质谱
E.电位法
第4题
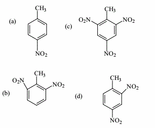
一种纯净的硝基甲苯的NMR图谱中出现了3组峰,其中一个是单峰,一组是二重峰,一组是三重峰。该化合物是下列结构中的( )。

警告:系统检测到您的账号存在安全风险
为了保护您的账号安全,请在“赏学吧”公众号进行验证,点击“官网服务”-“账号验证”后输入验证码“”完成验证,验证成功后方可继续查看答案!