重要提示:请勿将账号共享给其他人使用,违者账号将被封禁!
查看《购买须知》>>>
当前位置: 首页 > 行业知识 > 干部教育培训
网友 您好, 请在 下方输入框内输入要搜索的题目:
搜题

题目

[主观题]

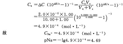
用离子选择性电极测定溶液中Na+的浓度。当电极浸入10.00mL待测溶液时电动势为0.1900V,加入1.00mL

2.0×10-2mol?L-1Na+标准溶液后的电动势为0.2300V。计算待测溶液的CNa+及pNa。

答案
依题意此法为标准加入法
依题意,此法为标准加入法
更多“用离子选择性电极测定溶液中Na+的浓度。当电极浸入10.00mL待测溶液时电动势为0.1900V,加入1.00mL”相关的问题

第1题

用离子选择性电极测定溶液中Na+的浓度。当电极浸入10.00mL待测溶液时电动势为0.1900V,加入1.00mL
2.0×10-2mol?L-1Na+标准溶液后的电动势为0.2300V。计算待测溶液的CNa+及pNa。

点击查看答案

第2题

钙离子选择性电极的选择性系数K(Ca2+,Na+)=1.3×10-4,现欲在0.100mol·L-1的NaCl溶液中测定浓度为5.8×10-5mol

钙离子选择性电极的选择性系数K(Ca2+,Na+)=1.3×10-4,现欲在0.100mol·L-1的NaCl溶液中测定浓度为5.8×10-5mol·L-1的Ca2+,要求测量误差小于5%,试计算测量结果是否可靠。

点击查看答案

第3题

用离子选择性电极法测定空气中氟化氢的含量,其测定的电极电位值与什么呈线性关系A、溶液中氟离子

用离子选择性电极法测定空气中氟化氢的含量,其测定的电极电位值与什么呈线性关系

A、溶液中氟离子浓度

B、溶液中氟离子浓度的对数

C、溶液中氟离子活度

D、溶液中氟离子活度的对数

E、溶液中氟离子活度的几何级数

点击查看答案

第4题

用离子选择性电极法测定空气中氟化氢的含量,其测定的电极电位值与A、溶液中氟离子浓度呈线性关系B

用离子选择性电极法测定空气中氟化氢的含量,其测定的电极电位值与

A、溶液中氟离子浓度呈线性关系

B、溶液中氟离子浓度的对数呈线性关系

C、溶液中氟离子活度呈线性关系

D、溶液中氟离子活度的对数呈线性关系

E、溶液中氟离子活度的几何级数呈线性关系

点击查看答案

第5题

25℃时,用氟离子选择性电极测定水样中的氟。取水样25.00mL,加TISAB溶液25mL,测得氟电极相对于SCE的电势(即工

25℃时,用氟离子选择性电极测定水样中的氟。取水样25.00mL,加TISAB溶液25mL,测得氟电极相对于SCE的电势(即工作电池的电动势)为+0.1372V;再加入1.00×10-3mol·L-1标准氟溶液1.00mL,测得其电势值为+0.1170V(相对于SCE)。忽略稀释影响,计算水样中氟离子的浓度。

点击查看答案

第6题

用氯离子选择性电极测定果汁中氯化物含量时,在100mL果汁中测得电动势为-26.8mV,加入1.00mL浓度为0.500mol·L

用氯离子选择性电极测定果汁中氯化物含量时,在100mL果汁中测得电动势为-26.8mV,加入1.00mL浓度为0.500mol·L-1经酸化的NaCl溶液,测得电动势为-54.2mV。计算果汁中氯化物浓度。(假定加入NaCl前后离子强度不变)

点击查看答案

第7题

称取含钙试样0.5000g,溶解后配制成100.00mL溶液,用参比电极和钙离子选择性电极测得电池的电动势为374.0mV,
加入1.00mL,浓度为0.1000mol·L -1的钙离子标准溶液,搅拌均匀后再次测定,电动势为403.5mV。计算试样中钙的质量分数。
点击查看答案

第8题

中国大学MOOC应用电化学第3期开课-第7周周测验9(有机电解合成-电势分析) 用氯离子选择性电极测定溶液中氯离子浓度时,可用下列哪种物质来调节离子强度

A.KNO3

B.KCl

C.AgNO3

D.KI

点击查看答案

第9题

中国大学MOOC应用电化学第3期开课-第7周周测验9(有机电解合成-电势分析) 用氯离子选择性电极测定溶液中氯离子浓度时,可用下列哪种物质来调节离子强度?

A.KNO3

B.KCl

C.AgNO3

D.KI

点击查看答案

第10题

在25℃时,用Cu2+选择性电极作正极,饱和甘汞电极作负极组成工作电池,以测定Cu2+浓度。于100.00 mL含
铜离子溶液中加入1.00 mL的0.100 0 mol.L-1Cu(NO3)2标准溶液后,电动势增加4 mV。试计算原试液铜离子总浓度。

点击查看答案

第11题

用氟离子选择性电极测定某含F-的试样溶液50.0mL,测得其电势为86.5mV.加入5.00X10 -2mol·L -1氟标准溶液0.50mL后测得其电势为68.0mV.已知该电极的实际斜率为59.0mV/pF,求该溶液中F的浓度(mol·L -1).
用氟离子选择性电极测定某含F-的试样溶液50.0mL,测得其电势为86.5mV.加入5.00X10 -2mol·L -1氟标准溶液0.50mL后测得其电势为68.0mV.已知该电极的实际斜率为59.0mV/pF,求该溶液中F的浓度(mol·L -1).

点击查看答案
    赏学吧APP
    TOP
    重置密码
    账号:
    旧密码:
    新密码:
    确认密码:
    确认修改
    购买搜题卡查看答案
    购买前请仔细阅读《购买须知》
    请选择支付方式
    微信支付
    支付宝支付
    点击支付即表示你同意并接受 《服务协议》《购买须知》
    立即支付
    搜题卡使用说明

    1. 搜题次数扣减规则:

    功能 扣减规则
    基础费
    (查看答案)
    加收费
    (AI功能)
    文字搜题、查看答案 1/每题 0/每次
    语音搜题、查看答案 1/每题 2/每次
    单题拍照识别、查看答案 1/每题 2/每次
    整页拍照识别、查看答案 1/每题 5/每次

    备注:网站、APP、小程序均支持文字搜题、查看答案;语音搜题、单题拍照识别、整页拍照识别仅APP、小程序支持。

    2. 使用语音搜索、拍照搜索等AI功能需安装APP(或打开微信小程序)。

    3. 搜题卡过期将作废,不支持退款,请在有效期内使用完毕。

    请使用微信扫码支付(元)
    订单号:
    遇到问题请联系 在线客服
    请不要关闭本页面,支付完成后请点击【支付完成】按钮
    遇到问题请联系 在线客服
    恭喜您,购买搜题卡成功 系统为您生成的账号密码如下:
    重要提示:请勿将账号共享给其他人使用,违者账号将被封禁。
    发送账号到微信 保存账号查看答案
    怕账号密码记不住?建议 关注微信公众号绑定微信,开通微信扫码登录功能
    警告:系统检测到您的账号存在安全风险

    为了保护您的账号安全,请在“赏学吧”公众号进行验证,点击“官网服务”-“账号验证”后输入验证码“”完成验证,验证成功后方可继续查看答案!

    - 微信扫码关注赏学吧 -
    警告:系统检测到您的账号存在安全风险
    抱歉,您的账号因涉嫌违反赏学吧购买须知被冻结。您可在“赏学吧”微信公众号中的“官网服务”-“账号解封申请”申请解封,或 联系客服
    - 微信扫码关注赏学吧 -
    请用微信扫码测试
    温馨提示
    每个试题只能免费做一次,如需多次做题,请购买搜题卡
    立即购买
    稍后再说
    赏学吧