题目
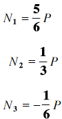
杆3的轴力是______。

更多“如图所示结构中,假设AC梁为刚杆,杆1、2、3的横截面面积相等,材料相同。杆1的轴力是______,杆2的轴力是______,”相关的问题
第4题
在图(a)所示结构中,假设AC梁为刚杆,杆1,2,3的横截面面积相等,材料相同。试求三杆的轴力。

第5题
18mm,钢的许用应力[σ]=170MPa,弹性模量E=210GPa 。试校核钢杆的强度,并计算钢杆的变形 lAC、 lBD及A、B两点的竖向位移 A、 B。

第6题
如图所示结构中,AB及AC均为圆截面杆,直径d=80mm,材料为A3钢,求此结构的临界载荷Fcr

第7题
如题8-27图(a)所示结构,梁BD为刚杆,杆1与杆2用同一种材料制成,横截面面积均为A=300mm2,许用应力[τ]=160MPa,载荷F=50kN,试校核杆的强度。

第8题
图示结构中,AC为刚杆,CD杆的材料为 Q235 钢,C 、D两处均为球铰,已知d=2Omm ,材料的E=200GPa,αp=235MPa,稳定安全因数nx=3.0。试确定该结构的许可荷载

第9题
A.34.34 kN
B.50 kN
C.68.67 kN
D.70 kN
第11题
径为d,并且d=2a。材料的弹性模量为E,l=30d,对此材料能采用欧拉公式的临界柔度为100。试求力F作用在AB梁上的什么位置时,此结构承担的载荷为最大。

警告:系统检测到您的账号存在安全风险
为了保护您的账号安全,请在“赏学吧”公众号进行验证,点击“官网服务”-“账号验证”后输入验证码“”完成验证,验证成功后方可继续查看答案!