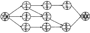
题目
A.工作A
B.工作B
C.工作C
D.工作D
E.工作E
更多“某工程单代号网络图如下所示,属于关键工作的工序为()”相关的问题
第3题
某工程各工作之间的逻辑关系及工作持续时间如下表所示。

(1)绘制双代号网络图,计算时间参数。
(2)什么是线路?关键线路?指出本工程中所有线路及关键线路,在上网络图中用双线表示出关键线路。
第4题
某分部工程各工作间的逻辑关系如下所示,依表所绘制的双代号网络图如下,其中绘图错误的有()。
.jpg)
A.逻辑关系错误
B.有循环回路
C.节点编号排序不对
D.一项工作没有唯一的一对代号
第6题
某工程单代号 网络 图如下所示,其关键线路为()
A.1-2-4-6
B.l-3-4-6
C.1-3-5-6
D.1-2-5-6
4A 4
St 1 6
0 3 5
第7题
某工程单代号网络图如下,说法正确的是()。
.jpg)
A.工作D的ES为2
B.工作C的FF为2
C.工作F的FF为1
D.工作H的FF为1
第9题
某项目有三项工作,每项工作都为关键工作,假定的开始时间为0,必须在第42天之前完成。每项工作的概率分布如表所示,试回答和计算以下问题:(1)请依据上表画出双代号和单代号网络图。(2)计算关键线路上工作的期望工期(计算方法要求:先分别计算,后加总)。(3)计算关键线路上三项工作的方差、总分布的方差和标准差。(4)项目在多少天之间完工的概率是99%。

警告:系统检测到您的账号存在安全风险
为了保护您的账号安全,请在“赏学吧”公众号进行验证,点击“官网服务”-“账号验证”后输入验证码“”完成验证,验证成功后方可继续查看答案!