题目
A.相等
B.高
C.低
更多“和普通偶极子天线相比,航向信标中对数周期偶极子天线的长厚比()。”相关的问题
第4题
A.中国民用航空局
B.中国民用航空地区管理局
C.中国民用航空局空中交通管理局
D.各级航务管理中心
第5题
A.108.35MHz
B.110.95MHz
C.110.90MHz
D.109.35MHz
第6题
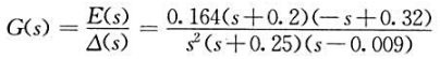
其中,E(s) 为油船偏航角的拉氏变换,Δ(s) 是舵机偏转角的拉氏变换。试验证图5-26所示的油船航向控制系统的开环对数频率特性的形状是否准确。

第7题
A.内指点信标台1300Hz
B.中指点信标台1300Hz
C.外指点信标台3000Hz
D.航向信标台3000Hz
第8题
A.12,19,18
B.32,39,38
C.42,49,48
警告:系统检测到您的账号存在安全风险
为了保护您的账号安全,请在“赏学吧”公众号进行验证,点击“官网服务”-“账号验证”后输入验证码“”完成验证,验证成功后方可继续查看答案!