考研是指教育主管部门和招生机构为选拔研究生而组织的相关考试的总称,由国家考试主管部门和招生单位组织的初试和复试组成。考试科目有公共课和专业课,近年来考研的报名人数继续呈递增趋势。上学吧考研题库在公共课板块已经汇集了上千份试卷,同时专业课板块也在努力更新中。希望这些努力可以为正在备考的考生们助力。现在点击安装APP刷题。以下为试卷的详细内容:
一、单项选择题(每小题3分,共45分。)参考答案见试卷末尾
1、已知p,q均为质数,且满足5p+3q=59,则以p+3,1-p+q,2p+q-4为边长的三角形是( )。
A.锐角三角形
B.直角三角形
C.全等三角形
D.钝角三角形
E.等腰三角形
2、若x3+ax2+bx+8有两个因式x+1和x+2,则a+b=( )。
A.7
B.8
C.15
D.21
E.223
3、
4、
A.27
B.23
C.18
D.15
E.12
5、满足2m2+n2+3m+n-1=0的整数组m,n共有( )。
A.0组
B.1组
C.2组
D.3组
E.5组
6、已知多项式ax3+bx2+cx+d除以x-1时,所得的余数是1,除以x-2所得的余数是3,那么ax3+bx2+cx+d除以(x-1)(x-2)时所得的余式是( )。
A.2x-1
B.2x+1
C.x+1
D.x-1
E.3x-1
7、
A.1
B.2
C.3
D.4
E.5
8、已知y=ax2+bx+c(a≠0)的图像如图2所示,则下列4个结论:①abc>0②b<a+c,③4a+2b+c>0;④c<2b中,正确的结论有( )。.jpg)
A.0个
B.1个
C.2个
D.3个
E.4个
9、商场买进某种商品若干件,按定价卖出了进货的一半,然后按定价的九折卖掉了剩余部分的一半,接着再按定价的八折卖掉剩余部分的一半,最后按定价的六折将剩余部分全部卖完,总计商场这笔生意获利为进货价的30%,则最初的定价比进货价增加( )。
A.64%.
B.52%.
C.35%.
D.20%.
E.44%.
10、
A.15小时
B.13.8小时
C.13小时
D.12.8小时
E.12小时
11、
12、在1,2,3,4,5这五个数字组成的没有重复数字的三位数中,各位数字之和为奇数的共有 ( )。
A.24个
B.16个
C.28个
D.14个
E.30个
13、设有关x的一元二次方程x2+2ax+b2=0,若a是从0,1,2,3四个数中任取一个数,b是从0,1,2三个数中任取一个数,则方程有实根的概率是( )。
14、如图3所示,在直角△ABC中,∠ACB=90°,DE过点C且平行于AB,若∠BCE=35°,则∠A的度数为( )。.jpg)
A.25°
B.35°
C.45°
D.55°
E.65°
15、
二、条件充分性判断(每小题3分,共30分。)参考答案见试卷末尾
1、解题说明:
本大题要求判断所给出的条件能否充分支持题干中陈述的结论。阅读条件(1)和(2)后选择。
A.条件(1)充分,但条件(2)不充分。
B.条件(2)充分,但条件(1)不充分。
C.条件(1)和(2)单独都不充分,但条件(1)和条件(2)联合起来充分。
D.条件(1)充分,条件(2)也充分。
E.条件(1)和(2)单独都不充分,条件(1)和条件(2)联合起来也不充分。
n=156
(1)自然数n加上100是一个完全平方数
(2)自然数n加上168是一个完全平方数
2、8x2+10xy-3y2是49的倍数。
(1)x,y都是整数
(2)4x-7是7的倍数
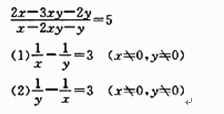
3、
4、点M(x,y)的坐标满足|x+y|<|x-y|
(1)点M的坐标在第二、四象限
(2)点M的坐标在第三、四象限
5、方程m|x|-x-m=0(m>0,且m≠1)有两个解。
(1)m<1
(2)m>l
6、
7、某企业人均利税今年上半年比去年同期增长了50%。
(1)某企业今年上半年利税额比去年同期增加40%,而员工人数比去年同期减少20%
(2)某企业今年上半年利税额比去年同期减少了10%,而员工人数比去年同期减少了 40%
8、
(1)5封信随机投进甲、乙两个空信筒,两个信筒都有信的概率是P
(2)6个运动队中有两个强队,先任意将6个队分为两组(每组3个队)进行比赛,则这两个强队同被分到第一组的概率是P
9、
10、
三、逻辑推理(每小题2分,共60分。)参考答案见试卷末尾
1、科西嘉岛上的野生摩弗伦绵羊是8000年前该岛逃过被家庭驯养的绵羊的直接后代。因此它们为考古学家们提供了在刻意选种产生现代绵羊开始之前早期驯养的绵羊的模样。以上的论证得到了下面哪个假设?
A.8000年前的驯养绵羊与现在的野生绵羊非常不同。
B.同时逃过被家庭驯养的绵羊品种中,不存在其他的品种作为摩弗伦绵羊的祖先。
C.现代的驯养绵羊是8000年前野生绵羊的直接后代。
D.摩弗伦绵羊与它们8000年前的祖先之间的相似之处比它们与现代驯养绵羊之间的相似之处多。
E.在过去的8000年中,科西嘉岛的气候一点也没有变化。
2、针对某种溃疡最常用的一种疗法可在6个月内将44%的患者的溃疡完全治愈。针对这种溃疡的一种新疗法在6个月的试验中使治疗的80%患者的溃疡得到了明显改善,61%的溃疡得到了痊愈。由于该试验只治疗了那些病情比较严重的溃疡患者,因此这种新疗法显然在疗效方面比最常用的疗法更显著。对下列哪一项的回答最能有效地对上文论述作出评价?
A.这两种疗法使用的方法有何不同?
B.这两种疗法的使用成本是否存在很大差别?
C.在6个月中以最常用疗法治疗的该种溃疡的患者中,有多大比例取得了明显改善?
D.这种溃疡如果不进行治疗的话,病情显著恶化的速度有多快?
E.在参加6个月的新疗法试验的患者中,有多大比例的人对康复的比例不满意?
3、现在工作为了以后享受的延迟满足的观念帮助塑造了现代社会的经济行为。然而,这种观念不再像从前那样不断地在孩子身上加以培养了。例如,过去孩子们需要花许多耐心才可把从麦片盒子里得来的玩具组装起来,而现在玩具从盒子里出来就是完整的。下面哪一句是上文的假设?
A.由于社会的经济状况改善了,所以麦片盒子里的玩具有了部分的改动。
B.促销这一花招对社会经济行为的影响逐年增加了。
C.过去麦片盒子里的玩具是玩它的孩子组装的。
D.玩具的部分乐趣在于玩之前先把它组装起来。
E.现在的孩子不指望一件玩具能给他们提供很长时间的乐趣。
4、目前,要求私营企业为抽烟者和不抽烟者设立不同的办公区的法规是一种侵犯私营企业权利的不合理法规。研究指出的不抽烟者可能会由于吸入其他抽烟者的吐出的烟而受害的事实并不是主要的问题。相反,主要的问题是政府侵犯了私营企业决定它们自己的政策和法规的权利。下面哪条原则如果能被接受,能合理地推出上述结论?
A.仅当个人可能会被伤害时,政府侵犯私营企业的政策和法规的行为才是正当的。
B.个人呼吸安全空气的权利高于企业不受政府侵犯的权利。
C.企业的独自裁决权高于政府必须保护个人的一切权利和义务。
D.保护雇员在工作场所不受伤害是私营企业的义务。
E.当企业的权利与政府的职责发生冲突时,最主要的问题是找到一个成功的折衷办法。
5、事实上,所有的极地冰都是由降雪形成的。特别冷的空气不能保持很多的水蒸气,因此无法产生大量降雪。近年来,两极地区的空气无一例外地都特别冷。以上信息最有力地支持了下列哪一结论?
A.如果极地冰目前确实有所增加、扩大,速度也是非常之慢。
B.如果极地的空气温度大幅度升高,许多极地冰将融化。
C.在过去的几年,极地的降雪一直在继续。
D.极地冰越厚,和它接触的大气越寒冷。
E.在极地,要使雪变成冰,空气必须非常寒冷。
6、也许令许多经常坐办公室的人感到意外的是,长时间坐在那里已使他们成为腰肌劳损的高危人群。市卫生部门发行了一个小册子,教人们如何通过做一些运动来进行每天一次的锻炼,来避免这部分人出现腰肌劳损。以下哪项如果为真,最能对上述小册子的效果提出质疑?
A.有些人的腰肌劳损靠锻炼难以预防。
B.预防腰肌劳损的方案因人而异。
C.经常锻炼的人也可能患腰肌劳损。
D.做锻炼的效果不如在医院的护理与治疗。
E.经常坐办公室的人不大可能做每天一次的锻炼。
7、生活水平的提高或贸易平衡,仅凭它们自身,都不能形成一个国家在国际市场上的竞争能力。需要二者同时具备才行。因为生活水平可以通过日益增长的贸易赤字来提高,贸易可以通过一个国家生活水平的降低来平衡。如果上述短文中陈述的事实是正确的,对于一个国家的竞争力的一种适当的测试应是它的哪一方面的能力?
A.当它的生活水平提高时平衡它的贸易。
B.当它的生活水平下降时平衡它的贸易。
C.当它的生活水平提高时增加贸易赤字。
D.当它的生活水平下降时减少贸易赤字。
E.当贸易赤字上升时保持生活水平不变。
8、从花岗岩之类的岩石中释放出的具有放射性的氡气体会使住在建造在这种岩石上面的房屋里的人住得越久越可能患上肺癌。如果氡的含量超过每升4皮居里,就应该采取保护措施。这一建议是基于任何居住了70年以上的人而说的。如果一个65岁的房主由以上说法得出结论,她新买的房子的氡的含量不用测试,那么,如果下面每个都正确,均能削弱房主的论述,除了:
A.这位房主以前住的房子所在的地区,氡的浓度超过了标准。
B.这位房主新房附近的其他房子,氡的浓度超过了每升4皮居里。这一浓度要求户主立即采取措施减少和它的接触。
C.将要继承这幢新房子的房主的孙女如今和她的子女住在那里。
D.如果住户吸烟,吸烟者会有比上文信息所提的更多接触氡的危险。
E.这位房主的新房子地下所含的是不会释放氡的岩石。
9、在美国西部的公有土地放牧没有引起这一地区广泛的环境危害,否则那片土地的条件就不会改进。然而,目前此地区的公有土地只有14%被认为没有被足够的植被覆盖,并因此环境恶劣。而在20世纪30年代,36%的土地没有被足够的植被覆盖。下面哪个,如果正确,最严重地削弱了以上论述?
A.美国西部,私有土地比公有土地植被茂盛。在私有土地上放牧的牛群能迅速增肥。
B.20世纪30年代以后,在美国西部公有土地上娱乐消遣对环境造成的破坏比在此放牧的牛群造成的破坏严重得多。
C.20世纪30年代,发生了一场少见的破坏性极强的干旱,波及的地区刚好是美国西部公有土地所在地。
D.利用公有土地放牧的牧场主所付的租金金额,只是租种同等私有土地放牧所交租金金额的一小部分。
E.20世纪30年代以来,美国政府购买的土地相对较多。
10、大学里的课堂过大或过小,或者,教授们的教学任务过重或过轻,对一所大学来说都不是一件好事。因为,拥挤的课堂和过重的工作量会削弱学校保留合格的学生和优秀的教工的吸引力。以下哪项如果被作为一个前提加入上文,最有助于论证上文的结论?
A.教学任务过轻的教授会将它们的剩余时间用在科研上。
B.较小的课堂易于组织更多的课堂讨论。
C.过小的课堂或过轻的教学任务表明了课堂教学的失败。
D.在最好和最坏的大学中过小的课堂或过轻的教学任务都是十分普遍的现象。
E.教学任务过轻的教授与学生们共处的时间并不比教学任务正常的教授时间更长。
11、培养能适应新时代要求的学生的关键因素不是灌输知识,而是培养能力。因此提高我国的中小学教育质量的关键措施是尽快地把目前的应试教育改变为素质教育。以下哪项都可能是上述论证所假设的,除了:
A.提高我国的中小学教育质量的主要目标是培养能适应新时代要求的学生。
B.目前我国的中小学教育中的应试教育不利于培养学生的能力。
C.素质教育的着重点不是灌输知识。
D.较多地掌握了知识的学生不一定有较强的能力。
E.有较强能力的学生一定能掌握较多的知识。
12、在相同的收入水平上,乡村家庭比城市或城市郊区的家庭有更大的购买力,因为城市或城市郊区家庭中用在食物或住所的一部分收入可以被乡村家庭用在其他的需要上。以上论述最支持以下哪一个推断?
A.平均来说乡村家庭比城市或城市郊区的家庭包含有更多的人数。
B.乡村家庭在食物和住房上的开支比城市或郊区家庭的开支少。
C.城市郊区家庭通常比乡村或城市家庭有更多更大的购买力。
D.城市和城市郊区家庭的中等收入通常比乡村家庭的中等收入高。
E.所有三种类型的家庭在饮食和住房上花费的收入比在其他所有商品上的花费多。
13、一组随机挑选出来的人看了一位演讲者给一群人数较多且注意力集中的听众做关于环境道德的讲座。另一组随机挑选出来的人看了同一位演讲者以同样方式给一群不太专心、人数较少的听众做相同的讲座。头一组人认为演讲者思考深入、自信,后一组人认为演讲者表达模糊、冗长。以上信息最好地成为反驳以下哪种说法的论证的一部分?
A.同样的社会行为在不同的社会背景下,给不同人的感觉可能很不一样。
B.如果第二组人看到该演讲者的第一批观众认真听取报告,他们对演讲者个人素质的判断很可能大不相同。
C.人们对演讲者个人素质的判断主要取决于他的谈话内容和说话的方式。
D.一个听众对演讲者发言的评论可能受到其他人的态度的影响。
E.随机选出的一批人在特定的社会环境下,对演讲者个人素质的认识可能达到一致。
14、作为一个促销实验,(Omega公司分发了400万份产品目录。该目录两个版本之一对所售的每种产品的描述都有一个“手工制造”的标签。收到这种目录的消费者每人的购买量比收到没有这种标签目录的消费者每人的购买量要多20%。因此,是这个标签起到了促销的作用。下面哪个,如果正确,能最有力地反驳以上结论?
A.得到有特殊说明的目录的消费者以前通过邮购购买过该公司的产品;而得到另一种目录的消费者以前没有这么做过。
B.调查表明在促销活动期间,不论消费者得到的是哪种目录,他们购买和退货的速度相等。
C.促销结束后,Omega公司的销售额大量减少了。
D.Omega公司寄出的目录中,提到“手工制造”标签的目录是没有提到“手工制造”标签的目录的三倍。
E.在促销的这一年,Ome8a公司卖出的产品比前一年少20%.。
15、来自巴西的火蚁现在正大批出没于美国的南部地区。不像巴西的火蚁,在美国,两个火蚁王后分享一个窝。来自这些窝的火蚁比来自单一王后的窝里的火蚁更具侵略性。通过摧毁几乎所有在它们的窝所属区域出现的昆虫,这些具有侵略性的火蚁就独自霸占食物资源,于是这些火蚁的数量猛烈地增长。既然在巴西有某些捕食火蚁的昆虫能限制那里火蚁数量的增加,那么美国进口这些捕食火蚁的昆虫来抑制该地区火蚁数量的增加将从总体上对那里的环境有益。下面除了哪一点之外,都是上述论述中所做的假设?
A.进口的昆虫对美国环境造成的危害不会比火蚁自身对环境造成的危害大。
B.来自巴西的那些捕食火蚁的昆虫在美国的生态环境中也能存活。
C.那些来自双王后的窝的特别具有侵略性的火蚁不会消灭巴西的那些捕食火蚁的昆虫。
D.那些捕食火蚁的昆虫会在火蚁延伸到比较靠北的州之前抑制住火蚁数量的增加。
E.火蚁的数量增加的比率不会超过那些捕食火蚁的昆虫杀死火蚁的比率。
16、人们经常能回忆起在感冒前有冷的感觉。这就支持了这样一种假设,即感冒是,至少有时候是由着凉引起的,是寒冷使rhino病毒(如果存在的话)感染了人体。下面哪个,如果正确,最严重地削弱了上述论据的说服力?
A.着凉是一种压力,而压力会削弱防止人体染病的人体免疫系统的抵御能力。
B.rhino病毒存在于人体内数日后,引起的第一个症状就是冷的感觉。
C.先受累然后着凉的人比不受累只受凉的人更容易患重感冒。
D.有些患感冒的人并不知道是什么引起了他们感冒。
E.rhino病毒并不总是存在于环境中,因此一个人有可能只着凉而不得感冒。
17、要断定一个新的概念,例如“私人化”这个概念能多快在公众中占据一席之地的一个确切的办法是,观察代表这个概念的单词或短语多快能变成一种习惯用法。关于短语是否确实已被认为变成了一种习惯用法可以从字典编辑那里得到专业意见,他们对这个问题非常地关心。上面描述的断定一个新的概念能多快被公众接受的办法依赖于下面哪个假设?
A.字典编辑从职业上讲对那些很少使用的短语并不感兴趣。
B.字典编辑有确切的数量标准来断定一个单词是在什么时候转变成了一种习惯用法。
C.一个新的概念要被接受,字典编辑就必须在他们的字典里收录相关的单词或短语。
D.当一个单词转变成一种习惯用法时,它的意思在转变的过程中不会经受任何严重的歪曲。
E.那些表示新概念的单词倾向于在它所表示的概念被理解之前被使用。
18、电学工程师已反复重申,最好的晶体管扩音机与最好的电子管扩音机在通常测量评价扩音机的音乐再现质量方面的性能是一样的。因此,那些坚持认为录制的音乐在最好的电子管扩音机里播放时听起来好的音乐爱好者,一定是在想象他们声称的听到的质量上的差异。以下哪项如果为真,最能削弱上述论证?
A.许多人仅凭耳听不能区分正在播放的音乐是在好的晶体管扩音机里播放还是在好的电子管扩音机里播放。
B.电子管扩音机的音乐再现质量的变化范围要比晶体管扩音机的大。
C.有些决定音乐听起来怎么样的重要特性不能被测量出来。
D.当放出相同的音量时,晶体管扩音机比电子管扩音机的体积小,用电少且产生热量少。
E.在实验室里通常测定的用以评价扩音机的音乐再现质量的特性方面,有些电子管扩音机明显地比晶体管扩音机好。
19、用地面雷达所测到的小行星距地球最近距离为220万英里,这是最近测到的涛塔底丝号小行星距地球的距离,而测得的最近的小行星加丝帕拉距地球仅为1万英里。从上述陈述可得出以下哪项结论?
A.涛塔底丝小行星比加丝帕拉小行星更易撞击地球。
B.涛塔底丝小行星和加丝帕拉小行星一样都是最近才发现的。
C.只有用地面雷达才能测到小行星。
D.地面雷达系统不能测到距地球200万英里以外的事物。
E.加丝帕拉小行星不是地面雷达测到的。
20、通常人们不认为美国是一个有很多长尾鹦鹉爱好者的国家,然而在对一批挑选出来进行比较各国家中养长尾鹦鹉的人做的一项人口调查中,美国以每百人中11人养长尾鹦鹉而排名第二。由此可得出结论,美国人比大多数其他国家的人更喜欢养长尾鹦鹉。知道下列哪一项将最有助于判断以上结论的正确性?
A.美国拥有的长尾鹦鹉的数量。
B.美国养长尾鹦鹉的人的数量。
C.在普查中排名第一的国家里每100个人养长尾鹦鹉的人的数量。
D.美国养长尾鹦鹉的人数和美国养其他鸟类作为宠物的人数的比较。
E.该普查中未包括的国家每百人中养长尾鹦鹉的人的数量。
21、在Q国生产收音机的成本比在Y国生产收音机的成本少10%。即使把运输费用和关税加上,一个公司将收音机从Q国进口到Y国仍比在Y国生产的收音机便宜。以上所述,如果是正确的,最有力地支持以下哪一个论断?
A.Q国的劳动力成本比Y国低10%.。
B.从Q国进口收音机到Y国将减少Y国10%.的制造业就业机会。
C.对从Q国进口到Y国的收音机征收的关税少于在Y国制造该收音机的成本的10%.。
D.将收音机从Q国运到Y国的运费大于在Q国制造该收音机的成本的10%.。
E.在Q国生产一台收音机的时间比在Y国的时间少10%.。
22、一项研究把一群有慢性抑郁症的人与另一群在其他方面一致但没有抑郁症的人进行了对比,发现抑郁群体中明显有更多的免疫系统失调。根据研究人员的说法,这些结果强有力地支持了精神状况会影响身体对传染病的抵抗能力的观点。下面哪个,如果正确,将对研究人员的解释提出最严重的质疑?
A.这些研究人员的观点并不比回应民间故事和文学中的一个熟悉的主题创作文学多做了什么事情。
B.有慢性抑郁症的人在防止接触传染病方面决不比其他人粗心。
C.免疫系统失调导致许多有这种问题的人患上慢性抑郁症。
D.以前没有抑郁症的人可能非常迅速地变得抑郁。
E.很频繁地发生传染病可能来源于过多的接触而非由于免疫系统的失调。
23、调查显示,在既定月份,18~65岁的所有妇女有52%属于劳动力群体(在家庭以外被雇用);根据这些调查,一位市场调研人员得出结论认为,18~65岁的所有妇女中48%的人一年到头都是全职的家务劳动者。下面哪个,如果正确,会严重地削弱这位调研人员的结论?
A.目前处于劳动力群体的妇女比二战以来每个时期都要多。
B.许多人,男女都有,很频繁地进入和退出劳动力群体。
C.虽然每个月只有总人口中很少的样本被调查,这些样本已经被发现是月雇用总数的可信的指标。
D.调查显示,比以往任何时候都要多的妇女把有一份带薪工作视为重要的、需要优先考虑的事情。
E.处于劳动力群体中的女性比那些不处于劳动力群体的女性有更多的可自由支配的收入。
24、现在燃烧化石燃料释放到大气中的大量二氧化碳实际上不会导致温室效应——即全球平均温度的上升。因为如果二氧化碳的供应量上升,植物就会更大量地消耗该气体,所以它们会长得更茂盛,繁殖得更快,那么大气中二氧化碳的浓度终将保持稳定。下面哪个,如果正确,将最严重地削弱这一结论,即目前释放到大气中的大量二氧化碳不会引起温室效应?
A.预计的全球平均温度的上升还没有被观察到。
B.当大气中二氧化碳的浓度上升时,海水就会更多地吸收二氧化碳。
C.从工业革命开始时起,大气中二氧化碳浓度的上升引起了农业生产率的提高。
D.植物腐烂时会产生甲烷,这是另一种能显著地产生温室效应的气体。
E.二氧化碳含量在地球的历史中多次上升和下降的事实说明有一些能逆转温室效应的生物作用。
25、有些末日论者警告说天气形势长期转暖或转冷的趋势都将大量减少谷物产量。但是比较乐观的报告指出,即使平均气温的这种变化真的发生,我们可以预期谷物产量不会有太大变化,因为几乎没有迹象表明降雨量的改变。此外,对大多数庄稼来说,气候导致的产量变化将被年产量的波动和科技因素引起的产量增加而掩盖。下面的哪项是上文提到的较乐观报告所基于的假设?
A.天气形势长期的变化无法被准确地预测。
B.谷物的生产产量依赖于科技因素,以至于不论气候条件如何,产量提高的可能性都不大。
C.降雨量的变化趋势比温度变化趋势更难孤立地去考虑。
D.长期的转暖或转冷趋势如果伴随有降雨形势的变化,其对谷物产量的破坏比没有降雨形势的变化时更大。
E.长期转冷趋势比长期转暖趋势对谷物产量的潜在破坏更严重。
26、体工队长说:“我们的体育队成员包括:秋季赛的80名足球队员和40名越野赛选手;冬季赛的20名摔跤手和40名游泳队员;春季赛的50名径赛选手和20名长曲棍球队员。每个运动员在3个月的赛季中每周参加5次比赛,在同一赛季没有运动员同时参加2个队。因此,把这些数字相加,我们的体育队共有250名运动员。”以下哪项是上述体工队长在作出结论的过程中所没有考虑到的?
A.运动员可以在一个赛季参加多支体育队。
B.运动员可以在几个赛季加入不同的运动队。
C.有些体育队比其他队需要更多的运动员。
D.一个赛季的运动员比另一个赛季要多。
E.一个运动员不可能隔一次参加训练任务和比赛。
27、只有地区主义党派的成员才会反对新再循环法的议案,这项新法的目的是为了保护环境不受工业利益的侵害。马丽不可能是地区主义党派的成员,因为她支持这项议案。以下哪项最能指出上述结论缺乏正当的理由?
A.地区主义党派的成员已经组织起来反对工业利益对其他事务的妨害。
B.工业利益不需要反对保护环境。
C.以往的通过再循环保护环境的努力已经失败了。
D.很可能有些地区主义党派的成员并不反对新再循环法的议案。
E.马丽已经参加了计划,散发了地区主义党派准备的文件。
28、少量的广泛使用的镇静剂可以使人在测谎检测中撒谎而不被发现。药物可以抑制测谎实验测量的紧张反应,而不产生明显的负作用。这一事实暗示我们该药物可以有效地缓解日常情况下的紧张感。以下哪项是上述论证中所必须假设的?
Ⅰ.镇静剂总能有效地治疗紧张感。
Ⅱ.测谎器测量的紧张感与日常生活中的紧张反应类似。
Ⅲ.在测谎器检测中撒谎的人总表现出紧张感。
A.仅仅Ⅰ。
B.仅仅Ⅱ。
C.仅仅Ⅲ。
D.仅仅Ⅱ和Ⅲ。
E.Ⅰ、Ⅱ和Ⅲ。
29、厂长:采用新的工艺流程可以大大减少炼铜车间所产生的二氧化碳。这一新流程的要点是用封闭式熔炉替代原来的开放式熔炉,同时,在固态下而不是在液态下按照流程把铜从一个熔炉转入下一个熔炉。但是,不仅购置和改造新的设备是笔大的开支,而且运作新流程的成本也高于目前的流程,因为铜在冷却以后还必须重新熔化。因此,总体上说,采用新的工艺流程将大大增加生产成本而使本厂无利可图。总工程师:我同意您总体上的结论,但不同意您的一个观点,因为最新的封闭式熔炉的熔炼能力是现有的开放式熔炉无法相比的。在以下哪个问题上,总工程师和厂长最可能有不同意见?
A.采用新的工艺流程是否确实可以大大减少炼铜车间所使用的开放式熔炉?
B.运作新流程的成本是否一定高于目前的流程?
C.是否确实有必要在本厂采用新的:工艺流程?
D.最新的封闭式熔炉的熔炼能力是否确实明显优于现有的开放式熔炉?
E.铜在冷却以后重新熔化的操作步骤,是否确实增加了生产成本?
30、研究引起错觉的艺术手法的作品自然要从希腊画家休西斯开始,在一幅为他扬名天下打下基础的早期作品中,他画了一碗葡萄,这碗葡萄竟然逼真地引来了小鸟啄食。他试图让人物画也获得同样的成功,为此他画了一个拿着一串葡萄的少年,这时鸟立刻过来啄食那串葡萄。于是,休西斯便认定他失败了。以下哪项是休西斯认定他后一幅作品失败所必须假设的?
A.人比鸟更容易被引起错觉的艺术手法的作品所欺骗。
B.到休西斯完成他后一幅作品的时候,引起错觉的艺术手法在绘画中已经很常见了。
C.前一幅作品中的葡萄比后一幅作品中的更真实。
D.鸟看到人在场的时候,不太可能去啄食水果。
E.在取得了早期作品的成功后,他不能辜负大众对他的期望。
参考答案:
【一、单项选择题】
1~5 BDBAC 6~10 ACCED
11~15点击安装“考研真题库APP”查看答案
【二、条件充分性判断】
1~5 CCEAB 6~10 EBAE
【三、逻辑推理】
1~5 DCCCA 6~10 EAECC
11~30点击安装“考研真题库APP”查看答案
如果这样刷题不过瘾,请立即安装APP刷题,历年真题、高质量模拟题应有尽有。