考研是指教育主管部门和招生机构为选拔研究生而组织的相关考试的总称,由国家考试主管部门和招生单位组织的初试和复试组成。考试科目有公共课和专业课,近年来考研的报名人数继续呈递增趋势。上学吧考研题库在公共课板块已经汇集了上千份试卷,同时专业课板块也在努力更新中。希望这些努力可以为正在备考的考生们助力。现在点击安装APP刷题。以下为试卷的详细内容:
一、单项选择题(每小题3分,共45分。)参考答案见试卷末尾
1、
2、若对任意x∈R,不等式|x|≥ax恒成立,则实数a的取值范围是( )。
A.a<-1
B.|a|≤1
C.|a|<1
D.a≥1
E.a=0
3、有一正的既约分数,如果其分子加上24,分母加上54后,其分数值不变,那么此既约分数的分子与分母的乘积等于( )。
A.24
B.28
C.30
D.32
E.36
4、
A.-2
B.-1
C.0
D.1
E.2
5、在有上、下行的轨道上,两列火车相对开来,甲列车的车身长235米,车速为25米/秒;乙列车的车身长215米,车速为20米/秒,则两列火车从车头相遇到车尾离开需要( )。
A.10秒
B.11秒
C.12秒
D.13秒
E.14秒
6、甲、乙两名工人要生产同样规格并且是同样数量的零件,甲每小时可做12个,乙每小时可做10个,两人同时开始生产,甲比乙提前2.5小时完成,当甲完成任务时,乙做了( )个零件。
A.110
B.115
C.120
D.125
E.130
7、某种酒精溶液里纯酒精与水的比是1:2.现加进纯酒精120克后,配成浓度为75%的酒精溶液,则原有酒精溶液( )。
A.70克
B.71克
C.72克
D.73克
E.74克
8、
A.没有实数根
B.有两个正根
C.有两个负根
D.有一个正根和一个负根
E.以上答案均不正确
9、Sn是公比为q的等比数列{an}的前n项之和,且Sn≠0,则Sn,S2n-Sn,S2n-S2n是( )。
A.公比为nq的等比数列
B.公比为qn的等比数列
C.公比为q-n的等比数列
D.不是等比数列
E.以上答案都正确
10、一圆柱体的高与一正方体的高相等,且它们的侧面积也相等,则圆柱体体积与正方体体积的比值是( )。
11、甲、乙、丙3位同学选修课程,从4门课程中,甲选修2门,乙、丙各选修3门,则不同的选修方案共有( )。
A.36种
B.48种
C.96种
D.120种
E.192种
12、某城市的汽车牌照号码由2个英文字母后接4个数字组成,其中4个数字互不相同的牌照号码共有( )。
13、已知甲盒内有大小相同的1个红球和3个黑球,乙盒内有大小相同的2个红球和4个黑球,现从甲、乙两个盒内各任取2个球,则取出的4个球中恰有1个红球的概率是( )。
14、平面图形由一等边△ABC与半圆CDB组成(如图1所示),其面积为
若将此图形绕其对称轴旋转180°,则得到的旋转体的体积为( )。
15、过点P(0,2)作圆x2+y2=1的切线PA,PB,A,B是两个切点,则A,B所在的直线方程是( )。
二、条件充分性判断(每小题3分,共30分。)参考答案见试卷末尾
1、解题说明:
本大题要求判断所给出的条件能否充分支持题干中陈述的结论。阅读条件(1)和(2)后选择。
A.条件(1)充分,但条件(2)不充分。
B.条件(2)充分,但条件(1)不充分。
C.条件(1)和(2)单独都不充分,但条件(1)和(2)联合起来充分。
D.条件(1)充分,条件(2)也充分。
E.条件(1)和(2)单独都不充分,条件(1)和条件(2)联合起来也不充分。
2、|a+b|≥|a-b|
(1)a>0,b>0
(2)a<0,b<0
3、某人以a元的单价,买入某种股票b股,两天后该股上涨了15%,第三天这只股票却回调了5%,临收市时他将手中的6股全部抛出,则他比前一日卖出少获得利润占他实际获得的62%。
(1)a=10,b=1500
(2)a=9,b=2000
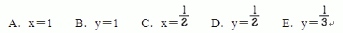
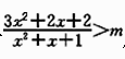
4、对任意实数x,恒有
成立。
(1)m>0
(2)m<2
5、方程x2-2mx+m2-4=0有两个不相等的正根。
(1)m>2
(2)m<-2
6、已知等差数列前3项为a,4,3a,前n项的和为Sn,则Sk=2550。
(1)a=2
(2)k=50
7、
8、
9、圆外切正方形和内接正方形的相似比是
(1)若圆半径为1
(2)若圆半径为2
10、
三、逻辑推理(每小题2分,共60分。)参考答案见试卷末尾
1、违反道德的行为是违背人性的,而所有违背人性的事情都是一样地坏。因为杀人是不道德的,所以用炸弹杀死一个人和用炸弹炸死一百个人是一样坏的。以下哪项论断与上述的论证原则是一致的?
A.如果说谎是不道德的,它与杀死一个人是一样坏的。
B.牺牲一个人去救另外一百个人并不比牺牲一个人去救另外一个人更高尚。
C.如果盗窃是不道德的,社会就应该像防止杀人那样来防止盗窃。
D.过失杀人与故意杀人是一样坏的。
E.在只有杀死另外一个人才能挽救一个人的生命时,无论杀死还是不杀死人都是同样坏的。
2、众所周知,每一位活着的、或者曾经生存过的人都有父母双亲。因此,3000年前的人口数量要比现在多。以下哪项最能指出上述论证中存在的漏洞?
A.上述推理忽略了在过去3000年间没留下后代的那些人。
B.上述推理没有考虑饥荒、瘟疫和战争等灾难对人口数量增长的影响。
C.上述推理没有考虑到,对3000年前人口数量进行精确估计是不可能的。
D.上述推理对于人口数量呈算术级数增加的效应估计过高。
E.上述推理没有考虑到,同一父母可能有多位子女。
3、28~29基于以下题干:
股票市场分析家总将股市的暴跌归咎于国内或国际的一些政治事件的影响,其根据是二者显示出近似的周期性。如果这种见解能够成立的话,我们完全有理由认为,股市的起落和月球的运转周期有关,正是它同时也造成周期性的政局动乱和世界事务的紧张,如同它引起周期性的潮汐一样。
以下哪项最为恰当地概括了题干的作者对股票市场分析家的观点提出质疑时所使用的方法?
A.他提出了一个反例,从而否定股票市场分析家的一般结论。
B.他从股票市场分析家的论证中引出一个荒谬的结论,从而对他的观点提出质疑。
C.他指出了另一种因果关系,通过论证这种因果关系的成立来说明股市分析家观点的不成立。
D.他运用了被普遍接受的观念来说明股市分析家观点的不成立。
E.他运用了科学技术的新发现来说明股市分析家观点的不成立。
4、
以下哪项最可能是作者事实上想说明的?
A.股票市场分析家在两种没有关系的现象之间人为地建立因果联系。
B.股票市场分析家对股市跌落和政治事件关系的过于简单化。
C.股市的起落和月球的运转周期的关系的揭示,是科学的重大成果。
D.股票市场分析家缺乏必要的自然科学知识。
E.股市的跌落和政治事件之间近似的周期性,是股市分析家的一种错觉。
5、治疗学家们发现,治疗那些因无法戒烟或停止过度饮食而寻求帮助的人成功的机会很少。根据这些经验,治疗学家们得出结论认为,这些积习是很难根除的。然而,调查却显示,成百上千的人却改掉了吸烟的习惯,并且很多人成功地减掉了相当可观的重量。以下哪项最能解释上述陈述中所存在的表面上的矛盾现象?
A.治疗方法有了进展,并且在调查中被记录了下来。
B.戒烟要比停止超量饮食更简单。
C.通过训练意志力可以很容易改掉吸烟和过度饮食的毛病。
D.调查中所选的那组人中没有包括那些接受治疗后仍然没有改掉习惯的人。
E.那些成功地治愈了自己的人并没去寻求治疗,因此没包括在治疗学家的数据里。
6、一旦消费者认识到通货膨胀阶段开始了,一般就会产生消费的增长。这一增长可以容易地解释为什么消费者不愿意耽搁购买那些肯定要涨价的东西。但是,在通货膨胀的持续时期,消费者最终推迟他们的日常购买活动,尽管事实是消费者依然认为价格会上升,尽管事实是在通货膨胀时期工资也会上升。以下哪项如果为真,最有助于解释上述表面上的矛盾现象?
A.消费者在通货膨胀时期比在非通货膨胀时期积蓄更多的钱。
B.在经济标示器发出通货膨胀开始的信号和消费者认识到它开始之间存在一种滞后现象。
C.对人类行为的一般性描述不适用于每一种具体的行为模式。
D.如果足够产生影响的消费者不能购买的话,那么价格最终会跌落,而工资不会受到直接影响。
E.消费者的购买力在通货膨胀的持续时期减低是由于工资跟不上价格上升的速度。
7、在警察新实施的一个项目中,于某些邻近地区在凌晨1点到5点通常不使用的汽车所有者的汽车窗子上装上一种特殊的贴花,并且准许警察在1点到5点之间拦截带有这种特殊贴花的汽车,检查驾驶员的执照。结果发现:带有这种特殊贴花的汽车的失窃率比从前大大降低。如果上述汽车失窃率下降这一结论成立,以下哪项对评价结论的有效性最为重要?
A.汽车所有者是否采取了与警察所实施的项目结合的其他足够谨慎的防止汽车被盗的特殊措施?
B.究竟有多少邻近地区的汽车参与了警察实施的新项目?
C.邻近地区积极参加这个新项目的汽车是否有时在白天被盗?
D.汽车窗子上有特殊贴花的车主,当他们需要在凌晨1点到5点出车时,是否会受到警察的干扰?
E.在警察实施的项目已有效果的邻近地区,汽车型号在整个地区是否有代表性?
8、张教授:在英国,根据长子继承权的法律,由男人的第一个妻子生的第一个儿子总是有继承家庭财产的权利。李研究员:你完全错了。布朗公爵夫人就合法地继承了她父亲的全部财产。以下哪项是对李研究员所作断定的最恰当评价?
A.李研究员的断定是对张教授的反驳,因为他举了一个反例。
B.李研究员的断定是对张教授的反驳,因为他揭示了长子继承权性别歧视的实质。
C.李研究员的断定不能构成对张教授的反驳,因为他对布朗公爵夫人继承父亲财产的合法性并未给予论证。
D.李研究员的断定不能构成对张教授的反驳,因为任何法律都不可能得到完全的实施。
E.李研究员的断定不能构成对张教授的反驳,因为他把张教授的话误解为只有儿子才有权继承财产。
9、假设:不是苹果就是杨梅,不是香蕉就是猪八戒。则由“苹果都不是香蕉”,我们可以得出以下哪一条结论?
A.有些苹果不是猪八戒。
B.有些猪八戒不是苹果。
C.有些猪八戒是香蕉。
D.有些猪八戒是苹果。
E.有些猪八戒是杨梅。
10、统计数据正确地揭示:整个20世纪,全球范围内火山爆发的次数逐年缓慢上升,只有在两次世界大战期间,火山爆发的次数明显下降。科学家同样正确地揭示:整个20世纪,全球火山的活动性处于一个几乎不变的水平上,这和19世纪的情况形成了鲜明的对比。如果上述断定是真的,则以下哪项也一定是真的?
(1)如果本世纪不发生两次世界大战,全球范围内火山爆发的次数将无例外地呈逐年缓慢上升的趋势。
(2)火山自身的活动性,并不是造成火山爆发的唯一原因。
(3)19世纪全球火山爆发比20世纪要频繁。
A.只有(1)。
B.只有(2)。
C.只有(3)。
D.只有(1)和(2)。
E.(1)、(2和(3)。
11、受到赞扬的斯坦尼斯拉夫斯基的训练演员的方法来自他做年轻演员时对戏剧不熟练和易受影响的老套做法的反叛。对该方法的理解必须从斯坦尼斯拉夫斯基个人企图摆脱陈腐的姿势、反复尝试的嗓音语调和标准的感情模式的诱惑这一初衷去研究。尽管他的美国门徒有过要求,但这位俄国导演从未打算写一本对表演问题提出严格的解决方法的教科书。从上述题干可以推出上文的作者对斯坦尼斯拉夫斯基的方法持有下列哪一个关于表演的观点?
A.表演本质上是自发的感情表达,系统的训练经常干涉它。
B.在被斯坦尼斯拉夫斯基的一些门徒使用时,斯坦尼斯拉夫斯基的方法已经丧失了一些灵活性和探索性的品质。
C.斯坦尼斯拉夫斯基的方法已经误导了在美国采纳它的演员。
D.实际上唯一需要给予年轻演员的建议是他们在表演中的戏剧老套模式。
E.斯坦尼斯拉夫斯基的方法主要对那些必须克服在表演中做作和不成熟的年轻演员有用。
12、鉴于常用抗菌药会导致细菌的抗药性,从而使细菌在抗菌环境下得以幸存,人体内所出现的抗菌现象归咎于人对抗菌药的服用。然而一些科学家则认为,人体内的大多数抗菌性细菌来自食用含菌的肉食。以下哪项如果为真,将最能加强上述科学家的假设?
A.牲畜饲养者为了加快牲畜的生长,常常在饲料中加入抗菌素。
B.大多数食用肉食发生中毒的人都是使用抗菌素药物来治疗的。
C.人体内抗菌性细菌的流行范围,在城市比在农村要高得多,因为在农村肉食的质量要好。
D.从来没有使用过抗菌性药物的人最不可能产生抗菌性细菌。
E.牲畜饲养者声称动物体内的抗菌性细菌不会通过食用肉食而传播给人。
13、广告商经常因不择手段地操纵人们的喜好与需求而受到指责。然而,有证据表明,有些广告商不仅出于财政上的考虑,而且受道德观念所驱使。某一刊物决定改变其形象,从以家庭内容为主,转向以性爱和暴力为主,以迎合不同的读者。有一些广告商就从该刊物上撤走了他们的广告,这一定是因为他们在道义上不赞成该刊物登猥亵的内容。以下哪项如果正确,最能加强上述论证?
A.那些广告商们把他们的广告转向了其他家庭报刊。
B.有些广告商把他们的广告从家庭报转向了那家改变后的报刊。
C.如果那些广告商们继续在改变后的刊物上登广告,他们的产品销量就有望增加;如果他们撤走广告,他们的产品销量就会下降。
D.通常那些家庭报刊的读者不大可能会买以性爱和暴力为主的报纸。
E.人们期望这家改变后的刊物能主要迎合那些不同收入群体的读者。
14、美国国会削减社会福利费看来会损害穷人的利益,其实不会。因为社会福利预算的削减的同时,税收也削减。因此,每个人手中的钱将变得较多,而不是较少。以下哪项能动摇上述论证?
Ⅰ.穷人正在发动起来,敦促国会提高社会福利预算。
Ⅱ.穷人本来几乎不纳税或者纳很少的税,因此,税收削减于他们无多受益。
Ⅲ.穷人因税收削减所得到的好处,补偿不了因福利费削减带来的损失。
A.仅仅Ⅰ。
B.仅仅Ⅱ。
C.仅仅Ⅲ。
D.仅仅Ⅱ和Ⅲ。
E.Ⅰ、Ⅱ和Ⅲ。
15、根据文物保护法,被作为文物保护的建筑物或其他设施,其所有权即使属于个人,所有者也无权对其进行修缮、装饰乃至改建。这一规定采取不允许任何例外的立法形式并不妥当,因为有时有的所有者提出对文物进行外观和内部结构的改造,是因为他们确信,这样做有利于加固和美化文物而提高它们的价值。以下哪项,如果为真,最能削弱上述论证?
A.对文物建筑的改造,不一定就能起到加固和美化的作用,有时反而会弄得不伦不类。
B.有的文物建筑年久失修,如不及时改造,将严重损害其价值。
C.文物建筑的真正价值在于它是历史的遗迹,对其原貌的任何改变都是在降低其价值。
D.一个所有者不能对其所有物进行处置,这是对其基本权利的侵犯。
E.个人所有者往往缺乏对文物建筑进行改造的技术能力。
16、在一次实验中,两岁的孩子与他们的父母们一起用擀面杖和其他工具做馅饼生面团。每一对父子所用的擀面杖与其他父子的都不一样,而且每一位父亲在他儿子每次使用擀面杖时都向他重复强调“擀面杖”,但是,当孩子们被要求从所有的用具中辨认出擀面杖时,每个孩子都只找出了自己用过的擀面杖。上述陈述最能支持以下哪项结论?
A.孩子们并不了解擀面杖的功用。
B.每个孩子都能正确地鉴别出自己使用过的擀面杖。
C.孩子们认为所有的擀面杖都有相同的外形。
D.没有两个孩子懂得“擀面杖”这个词的名称可用于指相同的物体。
E.孩子们不能分辨出自己用过的擀面杖,与其他擀面杖的差别。
17、甜饼干会导致蛀牙。吃甜饼干与牙齿接触的时候越长,就越容易导致蛀牙。而吃同样的饴糖比吃甜饼干融化得更快,所以吃饴糖比吃甜饼干引起蛀牙的可能性要小。以下哪项最为恰当地指出了上述论证中存在的漏洞?
A.基于一个可接受性相当低的假设。
B.依赖于一个含义模糊的关键性概念。
C.基于少数几个实例,轻率地概括出了一般性的结论。
D.上述论证把只在同一类事物中成立的联系,当作在不同类事物之间也成立的联系。
E.颠倒了一个事件的因果关系。
18、地球村是由一批环保主义者志愿组成的社会团体。《拯救地球》是地球村出版的宣传环保主义的一份刊物,此外,地球村还资助了许多环保项目。据统计,上个月《拯救地球》的订户又增加了2000个,地球村的发言人据此宣布,上个月又有2000人加入了环保主义者的阵营。以下哪项是地球村发言人的推断所必须假设的?
A.所有上个月的《拯救地球》的新订户在此前都不是环保主义者。
B.所有地球村的环保主义者都订阅了《拯救地球》。
C.每个《拯救地球》的订阅者都支持地球村的环保项目。
D.《拯救地球》中的文章都由地球村中的环保主义者撰写。
E.有的《拯救地球》的订阅者并不是环保主义者。
19、美国商界1984年用于研究和发展的开支比1983年仅提高了8%,而1981年比1980年提高的百分比为16.4%。这说明,美国国会1981年通过的欠税25%的法案并没有起到什么作用,当时通过这一法案的目的就是要促进商界对研究与发展的投入。 要使上述论证成立,以下哪项必须假设?
A.用于研究与发展的投入与商业利润通常是成正比的。
B.商界用于研究和发展的投入1985年不可能超过8.3%.。
C.如果1981年定的欠税率高于25%.,那么1981年以后商界用于研究与发展的投入就会比实际上要高一些。
D.如果没有25%.的欠税法案,1981年以后商界用于研究与发展的投入不会比实际上低得多。
E.这种欠税法案以前也有过,从来没起过多大作用。
20、某机关精简机构,计划减员25%,撤销三个机构,这三个机构的人数正好占全机关的 25%。计划实施后,上述三个机构被撤销,全机关实际减员15%。此过程中,机关内部人员有所调动,但全机关只有减员,没有增员。如果上述断定为真,以下哪项一定是真的?
Ⅰ.上述计划实施后,有的机构调入新成员。
Ⅱ.上述计划实施后,没有一个机构,调入的新成员的总数,超出机关原总人数的10%。
Ⅲ.上述计划实施后,被撤销机构中的留任人员,不超过机关原总人数的10%。
A.只有Ⅰ。
B.只有Ⅱ。
C.只有Ⅲ。
D.只有Ⅰ和Ⅱ。
E.Ⅰ、Ⅱ和Ⅲ。
21、交通阻塞的严重状况必须得到缓解。在传统的小城镇中,人们居住在他们工作和购物的地方;可是,现在商店和工作场所都设在远离住处的地方,人们每天都要在各处之间往返。交通阻塞在所有的道路上都达到了十分严重的地步,以至于在主要公路上最高速度限制为55公里川、时,而实际的平均速度却只有35公里/小时。如果以上论述为真,最支持以下哪项中的建议?
A.主要公路上的最高速度限制应该放松。
B.应该鼓励经常使用主要公路的人们,在上下班时走二级公路。
C.应该鼓励传统的小城镇中的人们移居到大城市的郊区。
D.应该处罚行驶速度远远低于最高速度限制的司机。
E.应该鼓励新兴的企业选择与其雇员居住地接近的地方作为营业场所。
22、当大学生被问到他们童年的经历时,那些记得其父母经常经历病痛的正是那些成年后本人也经常经历一些疼痛如头痛的人。这个证据说明,一个人在儿童时代对成人病痛的观察会使其本人在成年后容易感染病痛。下面哪个,如果正确,最严重地削弱了以上论述?
A.那些记得自己小时候常处于病痛的学生不比其他大多数学生更容易经历疼痛。
B.经常处于病痛状态的父母在孩子长大后仍然经常经历病痛。
C.大学生比其他成年人经历的头疼等常见病痛少。
D.成年人能清晰地记住儿童时期病痛时周围的情形,却很少能想起孩提时代自身病痛的感觉。
E.一个人成年时对童年的回忆,总是注意那些能够反映本人成年后经历的事情。
23、人们缩减石油用量的一个办法是改用其他类型的燃料。由于木材是可再生的资源且可保持持续供应,家庭取暖用木头代替石油将是一个能确保将来有足够能源供应的办法。如果下列哪项正确,将最严重地削弱以上论述?
A.在每个使木柴取暖的国家,木材对每个家庭来说只能提供一部分热量。
B.到目前为止,每个使用木柴取暖的国家在森林再生之前就耗竭了它的森林资源。
C.每个使用木柴取暖的国家之所以这么做,是因为他们缺乏其他自然资源。
D.许多以木柴作为主要取暖手段的国家,火灾的发生率都很高。这些火灾发生的原因是燃烧木柴的火炉安装不合适。
E.在一些国家,那些被用作家庭取暖的木材属于政府。
24、张教授:马是所有动物中最高贵的。它们既忠诚又勇敢,我知道有这样一匹马,在它的主人去世后因悲伤过度而死亡。李研究员:你错了。狗同样是既忠诚又勇敢的。我有一条狗,每天都在楼梯上等我回家,即使我过了午夜回家,它还是等在那儿。以下各项断定都符合张教授和李研究员的看法,除了:
A.两种看法都认为忠诚和勇敢是人期望动物应具有的优点。
B.两种看法都认为最忠诚的动物是马和狗。
C.两种看法都认为人的品质也能为动物所具有。
D.两种看法都用一个动物的行为作为例证。
E.两种看法得出结论所使用的推理都是归纳推理,即从个别事实得出一般性的结论。
25、一位研究者发现具有低水平免疫系统的人在心理健康测验中的得分比具有高免疫系统的人分数低。这位研究者的结论是:免疫系统不仅能防御身体疾病,也能防御精神疾病。以下哪项如果是真的,将最严重地削弱研究者的结论?
A.该研究者的理论研究和进行实验间有一年的耽搁。
B.人们的免疫系统不受药疗法的影响。
C.一些具有高免疫系统的人在心理健康测试中与具有普遍免疫系统的人得分相同。
D.低免疫系统的人比高免疫系统和普遍免疫系统的人更易受到传染。
E.对普通人,强烈的压力首先引起精神疾病然后降低免疫系统的活动。
26、售货员对顾客说:“压缩机是电冰箱的核心部件。企鹅牌电冰箱采用与北极熊牌电冰箱同样高质量的压缩机。由于企鹅牌电冰箱的价格比北极熊牌电冰箱的价格要低得多,所以,当你买企鹅牌电冰箱而不是北极熊牌电冰箱时,你花的钱少却能得到同样的制冷效果。”下面哪一项如果被证实,便能合理地推出售货员的结论?
A.北极熊牌电冰箱的广告比企鹅牌电冰箱的广告多。
B.售货员卖出一台企鹅牌电冰箱所得的收入比卖出一台北极熊牌电冰箱得到的收入少。
C.电冰箱的制冷效果仅仅是由它的压缩机的质量决定的。
D.企鹅牌电冰箱每年的销量比北极熊牌电冰箱每年的销量大。
E.售货员卖出一台企鹅牌电冰箱所得的收入比卖出一台北极熊牌电冰箱得到的收入多。
27、具有大型天窗的独一无二的S百货商场的经验表明,商店内射入的阳光可增加销售额。S商场的大天窗可使商店的一半地方都有阳光射入,这样可以降低人工照明需要,商店的另一半地方只有人工照明。从该店两年前开张开始,天窗一边的各部门的销售量要远高于其他部门的销售量。下列哪一项,如果为真,最能支持上面论述?
A.在某些阴天里,商场中天窗下面的部分需要更多的人工灯光照明。
B.在商场夜间开放的时间里,位于商场中天窗下面部分的各部门销售额并不比其他部门高。
C.许多顾客在一次购物过程中。在商场两边的部门都购买商品。
D.除了天窗,商场两部分的建筑之间还有一些明显的差别。
E.位于商场天窗下面部分的各部门,在S商场的其他一些连锁店中也是销售额最高的部门。
28、无线电干涉仪法是一种将广泛分布的无线电望远镜所截取的信号组合起来使用的研究天体详情的技术。这种技术需要超高精度计时、准确了解望远镜分布地点和复杂的计算机程序。因此,由一台在地球上的无线电望远镜与一台轨道运行卫星上的无线电望远镜组成的一个成功的干涉网络,才是完整有效的技术装备。从以上陈述中可得出以下哪一项?
A.发射卫星时必须特别注意才能方便计算它的轨道。
B.在卫星上的望远镜比在地球上的望远镜所接收到的信号强。
C.从卫星地球干涉仪系统得到的细节分辨能力不如完全用地球干涉仪系统的强。
D.用来处理从卫星上接收到的信号的电脑程序还需要很长一段时间来改进。
E.使用干涉仪法必须计算出在太空轨道上运行的卫星对地球的相对位置。
29、下面哪个最好地补充了下文?“政府”并非是作为一个制定政策的独立实体而存在的。相反,有一群对选民意见十分敏感的民主选举产生的实用主义者,他们制定能导致自己再次当选的政策。所以,比如说,如果公共政策与环境方面的考虑相对立,那么并非因为政府刚愎自用,而是因为被选出来的官员相信:
A.不管在环境方面多么完善,任何政策都很难满足环境保护主义者的要求。
B.环境方面的考虑要适应财政允许提供的资金。
C.公众对环境恶化过分担忧了。
D.选民中的大多数人投票支持某些政治家是因为这些政治家在政治事件中的特有的习惯立场。
E.大多数选民并不非常希望有不同的政策。
30、根据国际卫生与保健组织2000年年会“通讯与健康”公布的调查报告显示,68%的脑癌患者都有经常使用移动电话的历史。这充分说明,经常使用移动电话将极大增加一个人患脑癌的可能性。以下哪项若为真,则最严重削弱上述结论?
A.进入20世纪80年代以来,使用移动电话者的比例有惊人增长。
B.有经常使用移动电话的历史的人在1990至1999年超过世界总人口的65%.,这一比例 2000年更大。
C.2000年全世界使用移动电话的人数比1999年增加了69%.。
D.使用普通电话与使用移动电话者同样有致癌危险。
E.没有使用移动电话的人数在1990年前超过世界总人口的50%.。
参考答案:
【一、单项选择题】
1~5 CBEBA 6~10 DCDBD
11~15点击安装“考研真题库APP”查看答案
【二、条件充分性判断】
1~5 ADDBA 6~10 CBAD
【三、逻辑推理】
1~5 BEBAE 6~10 EAEDB
11~30点击安装“考研真题库APP”查看答案
如果这样刷题不过瘾,请立即安装APP刷题,历年真题、高质量模拟题应有尽有。