自考人力资源管理专业,基于人才培养要适应社会主义现代化建设需要的趋势,根据经济建设和社会发展对人力资源管理专业人才需求而设置的。旨在培养具备管理、经济、法律及人力资源管理等方面的知识和能力,能在事业单位及政府部门从事人力资源管理以及教学、科研方面工作的工商管理学科高级专门人才。上学吧自考人力资源管理题库根据考试热点和重难点进行编辑,相信考生在经过不断地刷题练习是可以有所收获的。现在就点击安装APP刷题。以下为试卷的详细内容:
一、单项选择题 每小题1分,共30小题参考答案见试卷末尾
1、社会研究的目的是()
A.探索未知的事物
B.验证确定的知识
C.巩固已有的知识
D.维护研究者的利益
2、在社会研究过程中,研究者所采用的各种方法的总和被称为()
A.社会研究的方法
B.社会研究的方式
C.社会研究的方法论
D.社会研究的技术
3、按照一定的方法,从研究对象的总体中抽取一些个体作为样本进行调查的方式是()
A.重点调查
B.抽样调查
C.典型调查
D.实地调查
4、个案调查的特点是()
A.调查对象比较多
B.动员众多的调查员
C.调查具有深入性
D.随机抽取调查对象
5、每隔几年研究者就对同一批毕业生的职业成就进行一次调查,看看当初成绩好的毕业生后来职业成就是否更好,这一研究属于()
A.横向研究
B.同期群研究
C.同组研究
D.队列研究
6、关于定量研究说法正确的是()
A.哲学基础是人文主义
B.收集资料主要采用访谈法
C.可对大量样本的少数特征作精确的计量
D.强调研究程序的非系统化
7、属于选题主观标准的是()
A.研究者的学术兴趣
B.组织体系的可行性
C.研究方法能解决想要研究的问题
D.有足够的研究者
8、在研究设计阶段,研究者对具体的研究对象做出明确界定,主要取决于()
A.研究的类型
B.研究的目的和内容
C.研究的分析单位
D.研究的过程
9、选择中国部分家庭开展夫妻关系状况调查,进而推论中国家庭的夫妻关系状况,这种科学逻辑遵循的是()
A.假设——检验原则
B.演绎推理原则
C.抽样——推论原则
D.经验归纳原则
10、在社会研究活动中必须遵循的认识论原则之一是()
A.确定性原则
B.统计性原则
C.偶然性原则
D.必然性原则
11、研究者在检验“失业问题会导致犯罪问题严重化”的假设命题时,概念操作化最恰当的是()
A.失业问题操作化为失业次数
B.失业问题操作化为失业率
C.犯罪问题操作化为安全指数
D.犯罪问题操作化为判刑率
12、关于雪球抽样说法恰当的是()
A.属于概率抽样
B.一种单一阶段的技术
C.非累积抽样方法
D.适合对吸毒者抽样
13、在样本规模的估算公式中,t表示()
A.置信度
B.标准误差
C.总体的成数或百分比
D.置信度所对应的临界值
14、测量层次精确度最高的是()
A.定类测量
B.定序测量
C.定比测量
D.定距测量
15、在测量被调查者的健康状况时,选项为“非常差”“比较差”“一般”“比较好”“非常好”,且从低到高赋1-5分,这属于()
A.指数测量
B.李克特量表测量
C.语义差异量表测量
D.定类测量
16、建立指数时,指标选取除了尽可能挑选表面效度较高的指标外,还要注意()
A.对重要指标加权
B.对不同指标进行相关性检验
C.挑选再测信度较高的指标
D.处理好资料中的缺失值
17、一份问卷的所有问题,应该体现并服务于()
A.研究方案
B.研究方法
C.研究对象
D.研究主题
18、提问方式恰当的是()
A.您的父母退休了吗
B.您是否不赞成提高人才待遇
C.您退休了吗
D.您的收入是多少
19、问卷调查法的优点是()
A.科学抽样的调查结果具有代表性
B.调查对象能一致性地理解问卷内容
C.调查对象会愿意回答问卷问题
D.调查对象会真实回答问卷问题
20、控制访谈跑题的恰当表达方式是()
A.说您跑题了
B.说您没有按要求回答
C.说您还是回到正题吧
D.说您刚谈的很好,再谈谈X问题
21、与日常观察相比,科学观察的特征是()
A.观察目标不明确
B.有系统的观察设计
C.观察过程的主观性强
D.观察过程不可重复查证
22、根据观察过程的控制程度和观察内容的标准化程度,观察法可分为()
A.实验室观察和实地观察
B.参与观察和非参与观察
C.结构式观察和非结构式观察
D.直接观察和间接观察
23、英国人类学家马林诺夫斯基在获取《西太平洋上的航海者》的研究资料时,所采取的调查方法是()
A.非参与观察法
B.局外观察法
C.参与观察法
D.结构式观察法
24、现场实验的特点是()
A.隐蔽性差
B.真实性较高
C.实用性较低
D.实验对象容易觉察实验目的
25、二手资料分析的优点是()
A.容易做对比研究
B.资料效度有保障
C.资料准确性有保障
D.资料能够高度契合研究目的
26、美国社会学家S.M.多恩伯切和L.C.希克曼的“消费品广告中的他人导向”研究是()
A.二手资料分析
B.现存统计资料分析
C.内容分析
D.历史文献分析
27、当变量x的数值增大时,Y变量的数值减少,则X与Y的关系是()
A.正相关
B.强相关
C.弱相关
D.负相关
28、用样本统计值推论总体参数值的统计分析方法是()
A.推论统计
B.解释统计
C.描述统计
D.抽样统计
29、定距变量常用的离中量数是()
A.中位数
B.平均数
C.标准差
D.四分位差
30、对资料中有无不合理和相互矛盾的内容进行逻辑检查,体现了资料审核的()
A.真实性原则
B.标准性原则
C.完整性原则
D.准确性原则
二、多项选择题 每小题2分,共5小题参考答案见试卷末尾
1、社会研究的内容可以分为()
A.现状调查
B.态度调查
C.因果分析
D.预测分析
E.对策研究
2、一般而言,抽样误差主要取决于()
A.总体的异质性程度
B.抽样规则
C.样本的规模
D.抽样成本
E.抽样实施者
3、问卷设计的基本原则有()
A.考虑研究者原则
B.满足研究需要原则
C.考虑被调查者原则
D.与资料分析方法相结合原则
E.考虑具体调查方式原则
4、访谈过程中应进行交谈而停止提问的情况有()
A.需要帮助对方说话
B.需要解除交谈对象的恐惧不安
C.为正确把握对方的情感而鼓励对方
D.错失访谈的机会,需要重新访谈
E.被访者很有兴趣地讲述其他话题
5、观察的信度包括()
A.不同观察者的相关程度
B.被观察者的信度系数
C.同一观察者的稳定系数
D.不同观察者的信度系数
E.被观察者的相关程度
三、简答题 每小题7分,共4小题参考答案见试卷末尾
1、选题新颖性主要体现在哪些方面
2、简述分层抽样需要解决的问题
3、简述实施实验法研究的基本条件
4、简述理论检验的含义和步骤
四、论述题 每小题12分,共2小题参考答案见试卷末尾
1、结合实例,论述探索性研究的主要内容
2、结合实例,论述测量过程的步骤
五、应用题参考答案见试卷末尾
1、题42表为某市426户家庭的住房实住面积统计表,请计算实住面积的中位数
参考答案:
【一、单项选择题】
1~5 AABCC 6~10 CABCB
11~30点击安装“自考人力资源专业题库APP”查看答案
【二、多项选择题】
1 ABCDE 2 AC 3 BCDE 4 ABCD 5 ACD
【三、简答题】
1 (1)研究领域的新颖性;
(2)研究视角的新颖性;
(3)研究内容的新颖性;
(4)研究方法的新颖性。
(注:表述意思相似,即可得分。) 2 (1)进行分层,或者说根据什么原则确定分层变量;
(2)确定样本比例;
(3)确定实际分层抽取样本的方法:
①等比例分层抽样,则直接将总体比例视为样本比例;
②不等比分层抽样,则需要对样本比例做一定调整。
(注:表述意思相似,即可得分。) 3 (1)变量之间的因果关系假设必须是明确和具体的;
(2)能够排除其他因素的影响;
(3)实验刺激有足够的强度并容易操控;
(4)实验程序必须是可重复的;
(5)实验条件应该得到较高程度的控制。(注:表述意思相似,即可得分。) 4 (1)理论检验是指研究者通过收集和分析经验资料,去论证社会研究中提出的理论假设是否符合社会实际情况;
(2)理论检验一般分两个步骤:
①进行命题推演;
②对理论假设命题进行经验检验。
(注:表述意思相似,即可得分。)
【四、论述题】
1 探索性研究通常包括三个部分:
(1)实地考察;
(2)请教专家;
(3)查阅资料。
(注:上述要点各2分,视结合案例展开论述的情况酌情加0~6分。) 2 一般说来,测量过程包括三个步骤:
(1)概念化的过程,即把测量对象以概念的形式表示出来;
(2)操作化的内容,即针对要测量的概念,构造相应的测量工具;
(3)资料收集的任务,即用测量工具对测量对象进行经验观察。
(注:上述要点各2分,视结合案例展开论述的情况酌情加0~6分。)
【五、应用题】
1
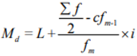
(1)确定中位数的位置:据
,中位数位于50~75组内;
(2)确定相关值:cfm-1=167,fm=124,i=25,L=50;
(3)根据公式
实住面积中位数=
(平方米)
如果这样刷题不过瘾,请立即安装APP刷题,历年真题、高质量模拟题应有尽有。