自考分为专业课和公共课,我们这里的自考专业课包含了各专业的专业课试题。如会计专业中的《高级财务会计》、《金融理论与实务》、《审计学》、《会计制度设计》等。专业课想到公共课来说,难度更大,为了更好的帮助大家通过考试,我们上学吧自考题库将该考试近10年的历年真题进行了收集和解答,如果您能坚持刷题学习,通过考试不难。现在就点击安装APP刷题。以下为试卷的详细内容:
一、单项选择题(本大题共10小题,每小题2分,共20分)在每小题列出的四个备选项中只有一个是符合题目要求的,请将其代码填写在题后的括号内。错选、多选或未选均无分。参考答案见试卷末尾
1、
2、
3、
4、4.设z=x+iy.若f (z)=my3+nx2y+i(x3-3xy2)为解析函数,则( )
A.m=-3,n=-3
B.m=-3,n=1
C.m=1,n=-3
D.m=1,n=1
5、
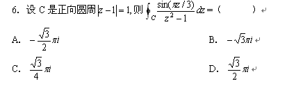
6、
7、
8、
A.可去奇点
B.一阶极点
C.二阶极点
D.本性奇点
9、
10、
参考答案:
【一、单项选择题】
1~5 CBCCA 6~10 DBAB
如果这样刷题不过瘾,请立即安装APP刷题,历年真题、高质量模拟题应有尽有。