教师公开招聘考试全国没有统一的考试形式和考试大纲,部分省份实行全省统一考试,但大部分省份还是由当地区县教育局根据当地区县各学校招聘老师人员进行汇总,然后由区县教育局和人事局统一组织招聘考试,考试形式一般分为笔试和面试,有些地区直接笔试,无需面试。上学吧教师公开招聘题库板块在教育理论综合知识、公共基础知识以及专业基础知识都精心汇编了大量的模拟试题和专项训练题,希望这些努力可以帮助到您。现在就点击安装APP刷题。以下为试卷的详细内容:
一、教育理论与实践 单选题参考答案见试卷末尾
1、
第 1 题 教师劳动对象的特殊性要求教师劳动具有( )。
A.责任性
B.创造性
C.复杂性
D.长期性
2、
第 2 题 “博学之,审问之,慎思之,明辨之,笃行之”体现的教育思想是( )。
A.学习重点在于学习的过程
B.强调教学过程应该是“在做中学”
C.主张教学建立在个体身上
D.说明新旧知识的联系和系统化的过程
3、
第 3 题 ( )作为世界上最早系统论述教学理论的专著,它的出现具有划时代的意义,标志着我国古代教学思想发展到了一个很高的水平。
A.《孟子》
B.《中庸》
C.《论语》
D.《学记》
4、
第 4 题 孔子提出的“学而时习之”、“温故而知新”,是说在教学中要贯彻( )原则。
A.循序渐进
B.巩固性
C.启发性
D.因材施教
5、
第 5 题 少年儿童模仿性强,可塑性大,具有慕师、崇师的心理,年龄越小,向师性越强,所以教师的劳动应具有( )。
A.创造性
B.示范性
C.长期性
D.整体性
二、数学专业基础知识 选择题参考答案见试卷末尾
1、
第 1 题 下图中,以直线为轴旋转一周,可以形成圆柱的是( )。
2、
第 2 题 三角形的面积一定,它的底和高( )。
A.成正比例
B.成反比例
C.不成比例
D.无法确定
3、
第 3 题 下面每组数中是互质数的是( )
A.8和10
B.12和13
C.6和9
D.15和57
4、
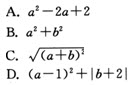
第 4 题 已知a、b为实数,则下列各式中一定是正值的是( )。
5、
第 5 题 矩形、菱形、正方形都具有的性质是( )。
A.对角线相等
B.对角线互相垂直
C.对角线平分一组对角
D.对角线互相平分
6、
第 6 题
A.-8
B.8
C.125
D.343
7、
第 7 题 在一副52张扑克牌中(没有大小王)任意抽取一张牌,抽出的这张牌是方块的机会是( )。
A.1/2
B.1/4
C.1/3
D.0
8、二、判断题(本大题共4小题,每题2分,共8分)
第 12 题 三角形中最大的一个角是70。,按角分类这是一个锐角三角形。( )
9、
第 13 题 “今年产量的4/5相当于去年的产量”应当把去年产量看作单位“1”。( )
10、第 14 题 540÷36=540÷9÷4。( )
11、
第 15 题 小数千分位上的计数单位是0.001或千分之一。( )
参考答案:
【一、教育理论与实践 单选题】
1 B 2 A 3 D 4 B 5 B
【二、数学专业基础知识 选择题】
1~5 CBBAD 8 对 9 错 10 对
11~11点击安装“教师招聘题库APP”查看答案
如果这样刷题不过瘾,请立即安装APP刷题,历年真题、高质量模拟题应有尽有。