资料员是负责工程项目资料的编制、收集、整理、档案管理等内业管理工作的技术人员,资料员需要通过国家相关部门组织的岗位资格考试,取得相应的证书后方能担任相关岗位的工作。资料员考试内容包括《资料员专业管理实务》和《资料员专业基础知识》两科。上学吧资料员考试题库是一家专门为资料员考试提供刷题服务的题库,只要大家认真刷题学习,通过考试不难,现在就点击安装APP刷题。以下为试卷的详细内容:
一、单项选择题参考答案见试卷末尾
1、钢筋( )是将两根钢筋安放成竖向对接形成,利用焊接电流通过两根钢筋端面间隙,在焊剂层下形成电弧过程和电渣过程,产生电弧热和电阻热,熔化钢筋,加压完成的一种压焊方法。
A.电阻点焊
B.氩弧焊
C.电渣压力焊
D.闪光对焊
2、一般抹灰中对各层砂浆的强度要求最高的是( )。
A.底层
B.中层
C.找平层
D.面层
3、在工程竣工验收前,由( )提请当地建设(城建)档案管理机构对工程电子档案进行预验收。
A.施工单位
B.设计单位
C.建设单位
D.监理单位
4、基于互联网的建设工程信息管理系统的逻辑结构具有八个层次,其中( )使项目各参与方通过项目信息门户完成一些工程项目的日常工作流程。
A.基于Internet的项目信息集成平台
B.项目协同工作层
C.项目信息分类层
D.工作流支持层
5、分部分项工程量清单的项目编码应采用十二位阿拉伯数字表示,其中第一位和第二位为第一级,表示( )。
A.清单项目码
B.分类码
C.具体清单项目码
D.章顺序码
6、《建设工程安全生产管理条例》规定,( )编制工程概算时,应当确定建设工程安全作业环境及安全施工措施所需费用。
A.建设单位
B.施工单位
C.监理单位
D.勘察、设计单位
7、下面( )不属于通用设备安装工程。
A.输送设备安装工程
B.风机设备安装工程
C.泵设备安装工程
D.起重设备安装工程
8、灰土地基换填不适用于( )。
A.软弱土
B.湿陷性黄土
C.杂填土
D.砂类土
9、如梁或板的跨度等于或大于4m ,应使梁或板底模起拱,防止新浇筑混凝土的荷载使跨中模板下挠。如设计无规定时,起拱高度宜为全跨长度的( )。
A.1/500
B.1/1000 ~3/1000
C.1.5/ 1000 ~3/1000
D.1/1000~2/1000
10、下列属于不完全燃烧产物的是( )。
A.二氧化碳
B.二氧化硫
C.一氧化碳
D.水蒸汽
11、下列费用中,不属于规费项目清单的是( )。
A.工程排污费
B.住房公积金
C.工伤保险
D.城市维护建设税
12、易燃液体的主要危险特性是( )。
A.高度的易燃易爆性
B.蒸发性
C.热膨胀性
D.流动性
13、( )是我国唯一的、专门的消防法律,是消防工作的基本法。
A.国务院关于进一步加强消防工作的意见
B.机关、团体、企事业单位消防安全管理规定
C.消防法
D.宪法
14、依据《房屋建筑与装饰工程工程量清单计算规范》GB50854—2013,下列属于“块料面层”的项目是( )。
A.石材楼地面
B.水泥砂浆楼地面
C.现浇水磨石楼地面
D.细石混凝土楼地面
15、施工资源管理的任务不包括( )。
A.编制资源进度计划
B.编制人员需求分配计划
C.加强定额管理,降低物料和能源的消耗
D.确定资源类型及数量
16、下列不属于施工项目资源管理任务的是( )。
A.确定资源类型及数量
B.确定资源的分配计划
C.编制资源进度计划
D.设计施工现场平面图
17、在下列情况下,不宜使用无筋扩展基础的情况是( )。
A.底层住宅楼
B.六层以下办公楼
C.墙承重的轻型厂房
D.高层住宅楼
18、工程项目管理组织的建立步骤中,在组织结构设计与人员配置之间应完成的是( )。
A.确定组织目标
B.制订考核标准
C.确定工作流程
D.工作岗位与工作职责确定
19、纸面石膏板以掺入纤维增强材料的建筑石膏作芯材,两面用纸作护面而成。关于其应用的表述,错误的是( )。
A.可应用于天花板
B.可应用于复合墙板内墙板
C.可应用于框架结构的内墙隔断
D.可应用于室内隔墙板
20、《安全生产法》规定,从业人员发现直接危及人身安全的紧急情况时,有权( )。
A.批评
B.停止作业
C.检举
D.控告
21、建筑制图中,对于较长的构件,当其长度方向的形状相同或按一定规律变化时,可断开绘制,断开处应用( )表示。
A.索引符号
B.详图符号
C.图形折断符号
D.连接符号
22、拟写批复应注意的问题,表述错误的是( )。
A.要有正式的书面请示才能批复
B.坚持一请示一批复的原则
C.批复的意见要态度明朗
D.批复只能下发给来文请示的单位,不能抄送所属单位
23、人工接地体的长度不应小于( )。
A.0. 5m
B.1m
C.2m
D.2.5m
24、人工挖孔灌筑桩混凝土要垂直灌入桩孔内,并应连续分层浇筑,每层厚不超过( )m。
A.1
B.l.5
C.2
D.2.5
25、坚持严谨的科学态度,对自己提出的建议、判断高度负责,体现了建设监理人员( )道德规范。
A.遵纪守法,坚持原则
B.严谨工作,诚信服务
C.敬业爱岗,学好本领
D.热爱科技,献身事业
26、下列建筑工程信息技术的应用中,属于新兴技术的是( )。
A.概预算软件
B.进度计划软件
C.3D CAD
D.BIM
27、下列关于房屋施工图的阅读方法的表述,错误的是( )。
A.先看图纸目录,了解图纸类别和张数
B.按目录顺序通读一遍,对房屋有一概略了解
C.先整体后局部
D.先图样后文字说明
28、下面( )不属于专用设备安装工程。
A.建材设备安装工程
B.起重设备安装工程
C.轻工设备安装工程
D.矿业设备安装工程
29、()活动涵盖施工招标、合同管理以及竣工交付全过程。
A.工程量清单计价
B.工程定额计价
C.招标控制价
D.项目交易过程
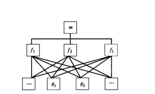
30、下图所示的职能组织结构中,m、f1、f2、f3、g1、g2等分别代表不同的工作部门或主管人负。这个组织结构表明( )。
A.m可以直接指挥g1和g2
B.g2只接受f2下达的指令
C.g1可直接接受m的指令
D.g1接受f1、f2和f3的直接指挥
31、蒸汽养护是缩短养护时间的方法之一,一般宜用( ) 左右的温度蒸养。
A.50℃
B.65℃
C.80℃
D.100℃
32、《建设工程安全生产管理条例》规定,工程监理单位应当审查施工组织设计中的安全技术措施或者专项施工方案是否符合( )。
A.工程建设法律
B.工程建设法规
C.工程建设强制性标准
D.工程建设规章
33、建筑工程施工现场的消防安全由( )负责。
A.建设单位
B.施工单位
C.设计单位
D.监理单位
34、同步电动机常用于拖动恒速运转的大、中型低速机械。它具有转速( )及功率因数( )的特点。
A.变化快 可调
B.变化快 不可调
C.恒定 可调
D.恒定 不可调
35、直径大于( )的钢筋,应优先采用焊接接头或机械连接接头。
A.10mm以上
B.12mm以上
C.14mm以上
D.15mm以上
36、天然大理石饰面板材不宜用于室内( )。
A.墙面
B.大堂地面
C.柱面
D.服务台面
37、《建筑法》规定,建筑施工企业因该项承揽工程不符合规定的质量标准造成的损失,建筑施工企业与使用本企业名义的单位或者个人承担( )。
A.民事责任
B.行政责任
C.连带责任
D.刑事责任
38、下列不属于施工项目成本控制的措施的是( )。
A.行政措施
B.组织措施
C.技术措施
D.经济措施
39、钢结构用钢主要是热轧成型的钢板和型钢等,钢板最小厚度大于( )mm厚板,主要用于结构。
A.3
B.4
C.5
D.6
40、下面( )不属于建筑智能化工程。
A.智能化集成系统工程
B.信息设施系统工程
C.建筑电气工程
D.设备管理系统工程
二、多项选择题参考答案见试卷末尾
1、水平防火分区即为阻止水平方向火灾蔓延,一般是采用( )等分隔物来达到防止火焰通过的目的。
A.防火墙
B.防火卷帘
C.火灾自动报警
D.防火水幕
E.防火门
2、公文审核一般包括( )等程序。
A.初核
B.校核
C.审核
D.复审
E.审签
3、《安全生产法》规定,生产经营单位的主要负责人在本单位发生生产安全事故时,不立即组织抢救或者在事故调查处理期间擅离职守或者逃匿的,承担( )责任。
A.给予降级、撤职的处分
B.并由安全生产监督管理部门处上一年年收入百分之六十至百分之一百的罚款
C.对逃匿的处十五日以下拘留
D.构成犯罪的,依照刑法有关规定追究刑事责任
E.造成损失的,承担赔偿责任
4、砌块砌体施工过程中,测量墙中线与埋墙拉筋之间应完成的工序有( )。
A.基层处理
B.弹墙边线
C.砌底部实心砖
D.立皮数杆
E.墙顶斜砖砌筑
5、施工项目进度控制的措施主要有( )等。
A.组织措施
B.技术措施
C.合同措施
D.经济措施
E.信息管理措施
6、建筑施工图中,下列属于建筑详图的图示内容的是( )。
A.表达出构配件各部分的构造连接方法及相对位置关系
B.表达出各部位、各细部的详细尺寸
C.表达出楼梯和走道的布置,墙柱构件的布局等
D.详细表达构配件或节点所用的各种材料及其规格
E.有关施工要求、构造层次及制作方法说明等
7、工程建设法律体系的内容是( )。
A.工程建设法律
B.工程建设行政法规
C.工程建设部门规章
D.工程建设地方性法规
E.工程建设地方规章
8、静力压桩适用于( )中应用。
A.软土
B.冻土
C.填土
D.砂砾土
E.一般粘性土层
9、下列关于防火材料的相关说法中,正确的是( )。
A.岩棉板对人体有害,应尽量避免与皮肤直接接触
B.钢结构防火涂料在用于室外时,应使用水性防火涂料
C.防火包主要用于各类电缆贯穿孔洞的防火封堵
D.防火胶泥可应用在建筑管道的防火封堵工程中
E.A级不燃材料多用做钢结构的耐火保护被覆材料
10、下列通用硅酸盐水泥中,具有水化热较小特性的是( )水泥。
A.硅酸盐
B.普通
C.火山灰
D.粉煤灰
E.复合
11、《建设工程质量管理条例》规定,建设工程竣工验收应当具备下列条件包括( )。
A.完成建设工程设计和合同约定的各项内容
B.有完整的技术档案和施工管理资料
C.有工程使用的主要建筑材料、建筑构配件和设备的进场试验报告
D.有勘察、设计、施工、工程监理等单位分别签署的质量合格文件
E.有施工单位签署的工程保修书
12、通用水泥在工程中用量最多,通用硅酸盐水泥的特性主要有( )。
A.早期、后期强度高
B.抗碳化性好
C.抗冻性好
D.水化热大
E.耐热性好
13、下列的建设项目投资费用中,属于工程造价构成的有( )。
A.设备及工器具购置费
B.建筑安装工程费
C.工程勘察设计费
D.流动资金
E.购置土地费
14、下列属于建筑物安全疏散设施的是( )。
A.疏散楼梯
B.疏散走道
C.安全出口
D.疏散指示标志
E.室内消火栓
15、《建设工程安全管理条例》规定,建设单位有( )行为的,责令限期改正,处20万元以上50万元以下的罚款;造成重大安全事故,构成犯罪的,对直接责任人员,依照刑法有关规定追究刑事责任;造成损失的,依法承担赔偿责任。
A.对勘察、设计、施工、工程监理等单位提出不符合安全生产法律、法规和强制性标准规定的要求的
B.要求施工单位压缩合同约定的工期的
C.将拆除工程发包给不具有相应资质等级的施工单位的
D.未按照法律、法规和工程建设强制性标准进行勘察、设计的
E.采用新结构、新材料、新工艺的建设工程和特殊结构的建设工程
16、建筑安装工程材料费包括( )。
A.材料原价
B.材料运杂费
C.采购与保管费
D.新材料试验费
E.运输损耗费
17、锅炉设备包括下列( )。
A.低压锅炉
B.中压锅炉
C.高压锅炉
D.亚临界锅炉
E.超超临界锅炉
18、消防工程系统包括( )等。
A.消防水系统
B.火灾自动报警系统
C.气体灭火系统
D.防排烟系统
E.应急疏散系统
19、公文的特点包括( )
A.公文是公务活动的产物,具有特定的规定性。
B.公文由法定作者制发,具有法定的权威性。
C.公文是特殊的信息记录手段,体式具有规范性。
D.公文的制作与生效需要履行法定的程序。
E.公文由普通作者制发,不具有法定的权威性。
20、下列关于建筑石灰技术性质的说法,正确的有( )。
A.保水性差
B.耐水性好
C.生石灰吸湿性强
D.硬化较慢、强度低
E.硬化时体积收缩小
三、判断题参考答案见试卷末尾
1、建筑面积是指建筑物的水平面面积,即外墙勒脚以上各层水平投影面积的总和。
2、项目经理是企业法人在项目上的全权代表,对所负责的项目拥有与公司经理相同的责任和权力,是项目成本管理的第一责任人。
3、大多数材料在受力变形时,既有弹性变形,也有塑性变形,只是在不同的受力阶段,变形的主要表现形式不同。
4、收文办理是指对收到公文的办理过程,包括签收、登记、审核、拟办、批办、承办、催办、反馈等程序。
5、《建设工程质量管理条例》规定,施工单位必须按照工程设计要求、施工技术标准和合同约定,对建筑材料、建筑构配件、设备和商品混凝土进行检验,检验应当有书面记录和专人签字;未经检验或者检验不合格的,不得使用。
6、混凝土自然养护包括洒水养护、喷涂薄膜养生液养护以及蒸汽养护。 ( )
7、混凝土桩浇筑应由桩尖向桩顶方向连续浇筑,不得中断,并用振捣器捣实。
8、内保温是指保温层设置在外墙室内一侧,保温效果可靠,但室内使用面积减小, 容易在结构墙体内表面和保温材料外表面之间形成冷凝水。 ( )
9、钢材是以铁为主要元素,含碳量在2.0%以下,含有害杂质较少的铁碳合金。其缺点是:易锈蚀,维修费用大、防火性能较差。
10、由项目经理组织编制《施工工项目管理实施规划》属于施工阶段的工作。
11、砌块墙施工中,为加强砌块建筑的整体性,多层砌块建筑应设置圈梁。
12、基础定额中的计量单位一般采用基本的物理计量单位或自然计量单位,如m2、m3、m、kg、t等。
13、管理层次是指上级管理者所直接领导下级人员的数量。
14、三类土主要包括粉质黏土,潮湿的黄土,夹有碎石、卵石的砂,粉土混卵(碎)石;植土、填土等。
15、现浇钢筋混凝土墙属于叠砌式墙。 ( )
16、正投影图具有一定的立体感和直观性,常作为工程上的辅助性图。
17、BIM是在计算机硬、软件系统支持下,对整个或部分地球表层(包括大气层)空间中的有关地理分布数据进行采集、储存、管理、运算、分析、显示和描述的技术系统。
18、管道工程是技术性较强的现代工程。
19、焊接管道和设备时,必须采取防火安全措施。
20、施工图中的定位轴线是用来确定房屋主要结构或构件的位置及其尺寸的基线。
参考答案:
【一、单项选择题】
1~5 CACDB 6~10 ADDBC
11~40点击安装“八大员考试题库APP”查看答案
【二、多项选择题】
1 ABDE 2 ABCDE 3 ABCD 4 BCD 5 ABCDE
6~20点击安装“八大员考试题库APP”查看答案
【三、判断题】
1 对 2 对 3 对 4 对 5 对
6~20点击安装“八大员考试题库APP”查看答案
如果这样刷题不过瘾,请立即安装APP刷题,历年真题、高质量模拟题应有尽有。