高职单招是为了突出高职教育特色,推进高考招生制度改革,选拔综合素质高和具有创新能力、实践能力、特殊才能的优秀高中毕业生进入高职院校学习而推出的重大政策。高等职业教育院校根据自身专业教学需要设置考试科目,自主命题、考试、评卷、面试、录取,上学吧高职单招题库汇编了各高校的历年真题及大量模拟试题,如果您需要刷题练习,现在就点击安装APP刷题。以下为试卷的详细内容:
一、单选题单项选择题(每小题5分,共50分)参考答案见试卷末尾
1、设集合A={x|1≤x≤5},Z为整数集,则集合A∩Z中元素的个数是()
A.6
B.5
C.4
D.3
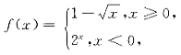
2、设
则f(f(-2))=()
A.-1
B.1/4
C.1/2
D.3/2
3、已知函数f(x)为奇函数,且当x>0时,f(x)=x2+1/x,则f(-1)=()
A.2
B.1
C.0
D.-2
4、设集合M={1,2,4,5,6},集合N={2,4,6},则M∩N=()
A.{2,4,5,6}
B.{4,5,6}
C.{1,2,3,4,5,6}
D.{2,4,6}
5、“对任意X∈R,都有x2≥0”的否定为()
A.存在x0∈R,使得x02<0
B.对任意x∈R,都有x2<0
C.存在x0∈R,使得x02≥0
D.不存在x∈R,使得x2<0
6、袋中有大小相同的三个白球和两个黑球,从中任取两个球,两球同色的概率为()
A.1/5
B.2/5
C.3/5
D.4/5
7、设集合A={1,3,5,7},B={x|2≤x≤5},则A∩B=()
A.{1,3}
B.{3,5}
C.{5,7}
D.{1,7}
8、从1,2,3,4,5,6这6个数中任取两个数,则取出的两数都是偶数的概率是()
A.1/3
B.1/4
C.1/5
D.1/6
9、若向量
A.(4,6)
B.(-4,-6)
C.(-2,-2)
D.(2,2)
10、复数z=2i/1+i的共轭复数是()
A.1+i
B.1-i
C.1/2+1/2i
D.1/2-1/2i
参考答案:
【一、单选题】
1~5 BCDDA 6~10 BBCA
如果这样刷题不过瘾,请立即安装APP刷题,历年真题、高质量模拟题应有尽有。