二级注册计量师是从事计量检定、校准、检验、测试等计量技术工作人员参与报考的考试,考试每年6月份举行,二级注册计量师资格考试设《计量法律法规及综合知识》(客观题)和《计量专业实务与案例分析》(客观题)2个科目。上学吧二级注册计量师题库在汇集了考试历年真题和高质量模拟试题,希望我们的题库可以为正在备考的您助力。现在点击安装APP刷题。以下为试卷的详细内容:
一、单项选择题参考答案见试卷末尾
1、被测量受到许多相互独立的随机影响量的影响,这些影响量变化的概率分布各不相同,但各个变量的影响均很小时,被测量的随机变化服从()分布。
A.正态
B.均匀
C.反正弦
D.三角
2、()不是计量标准的主要计量特性。
A.计量标准的测量范围
B.计量标准的不确定度或准确度等级或最大允许误差
C.检定或校准结果的重复性
D.计量标准的稳定性
3、检定或校准结果的验证方法为()。
A.只能选择传递比较法
B.只能选择比对法
C.可以在传递比较法和比对法中任意选择一种
D.原则上应采用传递比较法,只有在不可能采用传递比较法的情况下才允许采用比对法
4、申请国内计量器具型式批准的单位向()递交型式批准申请书。
A.国务院计量行政部门
B.省级政府计量行政部门
C.当地政府计量行政部门
D.省级以上技术机构
5、新建计量标准稳定性的考核,当计量检定规程中无明确规定时,可选一稳定被测对象,每隔一个月以上测一组结果,共测m组,m应大于或等于()。
A.3
B.4
C.5
D.6
6、为了使所有给出的测量结果之间能够方便地相互比较,在确定扩展不确定度时,大多数情况下取包含因子为()。
A.k=3
B.k=2.58
C.k=1.73
D.k=2
7、检定规程是()的技术文件。
A.保证计量器具达到统一的测量不确定度
B.保证计量器具按照统一的方法,达到法定要求
C.保证计量器具达到出厂标准
D.保证计量器具达到客户要求
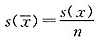
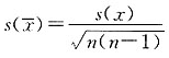
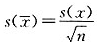
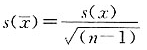
8、若测量值的实验标准偏差为s(x),则n次测量的算术平均值的实验标准偏差为()。
A.
B.
C.
D.
9、依据计量检定规程进行非强制检定计量器具的相关部分的校准,出具的证书名称为()。
A.检定证书
B.检定结果通知书
C.校准证书
D.测试报告
10、均匀分布的标准偏差是其区间半宽度的()倍。
A.
B.
C.
D.
11、用标准电阻箱检定一台电阻测量仪,被检测量仪的最大允许误差(相对误差)为±0.1%,标准电阻箱评定电阻测量仪示值误差的扩展不确定度为1×10-4(包含因子k为2),当标准电阻箱分别置于0.1Ω,1Ω,10Ω,100Ω,1000Ω,1MΩ时,被检表的示值分别为:0.1015Ω,0.9987Ω,10.005Ω,100.08Ω,999.5Ω,1.0016MΩ。检定员判断该测量仪检定结论为()。
A.不合格
B.合格
C.不能下不合格结论
D.不能下合格结论
12、计量检定的对象是指()。
A.包括教育、医疗、家用在内的所有计量器具
B.列入《中华人民共和国依法管理的计量器具目录》的计量器具
C.企业用于产品检测的所有检测设备
D.所有进口的测量仪器
13、当比对时间延误时,()应通知相关的参比实验室,必要时修改比对日程表或采取其他应对措施。
A.比对管理者
B.发生延误的参加实验室
C.比对组织者
D.主导实验室
14、一台(0~150)V的电压表,说明书说明其引用误差限为±2%。说明该电压表的任意示值的用绝对误差表示的最大允许误差为()。
A.±3V
B.±2V
C.±1.5%
D.±0.02V
15、按JJF 1033-2016《计量标准考核规范》的规定,检定或校准结果的重复性试验实在重复性条件下,用计量标准对常规的被检定或被校准对象进行n次独立重复测量,用()来表示重复性。
A.单次测量值的实验标准差
B.算术平均值的实验标准差
C.加权平均值的实验标准差
D.B类估计的标准差
16、期间核查是在两次校或检定之间,在实际工作的环境条件下,对预先选定的()进行定期或不定期的测量,考察测量数据的变化情况,以确认其校准状态是否继续可信。
A.测量标准
B.被校准对象
C.同一核查标准
D.计量标准
17、某计量标准在有效期内,扩大了测量范围而没有改变准确度等级,则应()。
A.报主持考核的质量技术监督部门审核批准
B.申请计量标准复查考核
C.重新申请考核
D.办理变更手续
18、在比对工作中,参考值的确定方法有多种,由主导实验室提出经专家组评审并征得()同意后确定。
A.同行专家
B.参加实验室
C.比对组织者
D.主导实验室的领导
19、在规定的测量条件下多次测量同一个量所得测量结果与计量标准所复现的量值之差是测量的()的估计值。
A.随机误差
B.系统误差
C.不确定度
D.引用误差
20、处理计量纠纷所进行的仲裁检定以()检定的数据为准。
A.企事业单位最高计量标准
B.经考核合格的相关计量标准
C.国家计量基准或社会公用计量标准
D.经强制检定合格的工作计量器具
21、法定计量检定机构开展校准时必须具备()。
A.经过法定计量检定机构给子校准的计量器具
B.按规定经考核合格,并取得计量标准考核证书的计量标准器
C.准确度高于被校准测量仪器的计量器具
D.经检定合格的计量标准器
22、关于实验标准差计算公式,下列表示正确的有()。
A.
B.
C.
D.
23、在重复性条件下,用温度计对某实验室的温度重复测量了16次,通过计算得到其分布的实验标准偏差s=0.44℃,则其测量结果的标准不确定度是()。
A.0.44℃
B.0.11℃
C.0.88℃
D.0.22℃
24、计量检定机构收到一份要求鉴定真伪的该机构出具的检定证书,首选()。
A.请求司法机构给以鉴定
B.要求在被鉴定证书上签名的人员核对笔迹
C.调查这份要求鉴定的证书是从哪里获得的
D.按检定证书上的惟一性标识查找保留的证书副本和原始记录进行核对
25、在相同条件下,对同一被测量进行连续多次测量,测量值为:0.01mm,0.02mm,0.01mm,0.03mm。用极差法计算得到的测量重复性为()。(注:测量次数为4时,极差系数近似为2)
A.0.02mm
B.0.01mm
C.0.015mm
D.0.005mm
26、在检定水银温度计时,温度标准装置的恒温槽示值为100℃,将被检温度计插入恒温槽后被检温度计的指示值为99℃,则被检温度计的示值误差为()。
A.+1℃
B.+1%
C.-1℃
D.-2%
27、国家计量检定规程是由()组织编写并批准颁布,在全国范围内施行,作为确定计量器具法定地位的技术文件。
A.全国专业计量技术委员会
B.计量测试学会
C.国家计量院
D.国务院计量行政部门
28、对2个相同准确度等级的10kg砝码校准时,对每个砝码重复测4次(n=4),测量值为xi(i=1,2,3,4);共测了2个砝码(m=2),得到2组测量值xij(i=1,…,4;j=1,2);数据见下表。则标准砝码的A类不确定度约为()。
A.0.008kg
B.0.004kg
C.0.016kg
D.0.006kg
29、某企业建立一项三等量块计量标准作为企业最高标准,其主标准器送()检定才是合法的。
A.具有相关能力的法定计量检定机构
B.本市某产品检测所
C.另外一家建立了二等量块计量标准的企业
D.另外一家建立了一等量块计量标准的企业
30、发现已发出的证书中存在错误,应按()处理。
A.将证书中的错误之处打电话告诉用户,请用户自行改正
B.收回原证书并在原证书上划改和盖章后重新发出
C.将原证书收回,重新出具一份正确的证书并重新编号,在新出的证书上声明代替原证书和原证书作废
D.按原证书号重新出具一份正确的证书
二、多项选择题参考答案见试卷末尾
1、实验室应该编制有关期间核查的程序文件,期间核查的程序文件应规定()。
A.需要实施期间核查的计量标准或测量仪器
B.核查方法和评审程序
C.期间核查的职责分工及工作流程
D.出现测量过程失控或发现有失控趋势时的处理程序
2、将下列数修约到小数点后第3位,修约正确的是()。
A.3.1425001→3.143
B.3.1425→3.143
C.3.141329→3.141
D.3.140500000→3.141
3、计量标准的主要计量特性有()。
A.计量标准的测量范围
B.计量标准的不确定度或准确度等级或最大允许误差
C.计量标准的其他计量特性,如灵敏度,鉴别阈,分淤力、漂移、死区、响应特性等
D.计量标准的稳定性
4、建立计量标准的技术依据是()。
A.《计量标准考核办法》
B.《计量标准考核规范》
C.国家计量检定系统表
D.计量检定规程或计量技术规范
5、计量标准的量值溯源和传递框图包括()。
A.上一级计量器具
B.本级计量器具
C.下一级计量器具
D.国家计量检定系统表
6、()是《计量标准技术报告》的内容。
A.建立计量标准的目的
B.计量标准的工作原理及其组成
C.计量标准器及主要配套设备
D.检定或校准人员
7、标准砝码的质量为ms,测量得到的最佳估计值为100.02147g,合成标准不确定度uc(ms)为0.35mg,取包含因子k=2,以下表示的测量结果中()是正确的。
A.ms=100.02147g;U=0.70mg,k=2
B.ms=(100.02147±0.00070)g;k=2
C.ms=100.02147g;uc(ms)=0.35mg,k=1
D.ms=100.02147g;uc(ms)=0.35mg
8、下列关于计量标准的稳定性描述中,是正确的有()。
A.若计量标准在使用中采用标称值或示值,则稳定性应当小于计量标准的最大允许误差的绝对值
B.若计量标准需要加修正值使用,则稳定性应当小于计量标准修正值的合成标准不确定度
C.经常在用的计量标准,可不必进行稳定性考核
D.新建计量标准一般应当经过半年以上的稳定性考核,证明其所复现的量值稳定可靠后,方能申请计量标准考核
9、明确比对的方法和程序,包括()等。
A.安装要求
B.预热时间
C.实验点,实验次数
D.实验顺序
10、检定证书的封面内容中至少包括()。
A.发出证书的单位名称;证书编号、页号和总页数
B.委托单位名称;被检定计量器具名称、出厂编号
C.检定结论;检定日期;检定、核验、主管人员签名
D.测量不确定度及下次送检时的要求
11、根据比对所选择的传递标准的特性确定比对路线,可以选择()三种典型的路线形式中的一种。
A.圆环式
B.星形式
C.组合式
D.花瓣式
12、常用的期间核查方法是:用被核查的测量设备适时地测量一个核查标准,记录核查数据,必要时画出核查曲线图,以便()。
A.证明被核查对象的状态满足规定的要求,或与期望的状态有所偏离而需要采取措施
B.使测量设备具有溯源性
C.及时发现测量仪器、计量标准出现的变化
D.使测量过程保持受控,确保测量结果的质量
13、注册计量师在检定或校准过程中应尽可能减少或消除一切产生系统误差的因素,例如采取一下措施中的()是正确的。
A.在仪器使用时尽可能仔细调整
B.改变测量中的某些条件,例如测量方向、电压极性等,使两种条件下的测量结果中的误差符号相反,取其平均值作为测量结果
C.将测量中的某些条件适当交换,例如被测物的位置相互交换,设法使两次测量中的误差源对测量结果的作用相反,从而抵消系统误差
D.增加测量次数,用算术平均值作为测量结果
14、编写检定规程有()基本要求。
A.满足法制管理要求
B.优先采用国际通用的方法
C.科学合理、经济、可行
D.技术细节完备
15、下列对不确定度描述正确的有()。
A.用对观测列进行统计分析的方法来评定标准不确定度,称为A类评定
B.用不同于对观测列进行统计分析的方法来评定标准不确定度,称为B类评定
C.用对观测列进行统计分析的方法来评定标准不确定度,称为B类评定
D.用不同于对观测列进行统计分析的方法来评定标准不确定度,称为A类评定
16、计量标准考核的内容有()。
A.是否具备与所开展量值传递工作相适应的技术人员
B.是否具有完善的运行、维护制度
C.计量标准测量能力的确认
D.是否科学合理,经济,可行
17、《计量标准考核(复查)申请书》中“不确定度或准确度等级或最大允许误差”一栏填写要点有()。
A.最大允许误差用符号MPE表示,其数值一般应带“±”号
B.准确度等级一般以该计量标准所符合的等别或级别表示,可以按各专业的规定填写
C.填写不确定度时,可以根据该领域的习惯和方便的原则,用标准不确定度或扩展不确定度来表示
D.对于不同的计量标准,可以填写不确定度或准确度等级或最大允许误差。具体采用何种参数表示应根据具体情况确定,或遵从本行业的规定或约定俗成
18、按对法定计量检定机构关于期间核查的规定要求,下列各项中需要期间核查的对象是()。
A.计量基准
B.工作计量器具
C.工作标准
D.本单位最高计量标准
19、对检定、校准证书的审核是保证工作质量的一个重要环节,核验人员对证书的审核内容包括()。
A.对照原始记录检查证书上的信息是否与原始记录一致
B.对数据的计算或换算进行验算并检查结论是否正确
C.检查数据的有效数字和计量单位是否正确
D.检查被测件的功能是否正常
20、计量标准测量能力的确认通过如下()方式进行。
A.现场实验
B.对技术资料的审查
C.重复性试验
D.稳定性考核
参考答案:
【一、单项选择题】
1~5 ACDBB 6~10 DBCCC
11~30点击安装“注册计量师题库APP”查看答案
【二、多项选择题】
1 ABCD 2 AC 3 ABCD 4 BCD 5 ABC
6~20点击安装“注册计量师题库APP”查看答案
如果这样刷题不过瘾,请立即安装APP刷题,历年真题、高质量模拟题应有尽有。