二级建造师考试是一个参与人数众多,在建筑行业有重要地位的考试,想要报考的人员需要满足一定的条件。二级建造师考试内容包括《建设工程施工管理》、《建设工程法规及相关知识》及《专业工程管理与实务》(共分建筑、公路、水利水电、机电、矿业、市政公用6个专业)。上学吧二级建造师题库包含了近10年的历年真题及答案解析、另外还包含很多高质量的模拟题,是大家通过考试的好帮手。现在点击安装APP刷题,以下为试卷的详细内容:
一、单项选择题(每小题1分,共70分)参考答案见试卷末尾
1、在国际上,施工企业项目经理是企业任命的一个项目的项目管理班子的负责人,其主要任务是()。
A.负责项目的人员配置和物资采购
B.负责项目的技术管理工作
C.代表企业法定代表人在项目上行使法律责任
D.项目目标的控制和组织协调
2、背景
某大型工程位于某市市郊,周围道路属一般路段,施工临时住宿、食堂均设置在现场围墙内。在开工前,施工单位制订了施工安全技术措施,并向有关人员进行了技术交底。由于工期较紧,施工单位向有关部门申请夜间施工,并承诺保证文明施工。
根据背景,回答下列问题。
根据施工安全技术交底制度,负责组织有关部门向项目经理部和分包商进行安全技术措施交底的是( )。
A.建设单位技术负责人
B.监理单位技术负责人
C.总承包单位的安全部门负责人
D.总承包单位的工程师
3、工程索赔计算时,最常用的一种方法是( )。
A.总费用法
B.修正总费用法
C.实际费用法
D.分项费用法
4、施工质量保证体系的运行,应以( )为主线,按照PDCA循环的原理,即计划、实施、检查和处理的方式展开控制。
A.过程管理
B.质量计划
C.信息管理
D.参数选择
5、在施工进度计划实施过程中,应有序进行下列工作:①跟踪检查,收集实际进度数据;②;③分析计划执行的情况;④对进度的变化采取措施予以纠正或调整计划;⑤检查措施的落实情况;⑥进度计划的变更必须与有关单位和部门及时沟通。其中,第②的工作是( )。
A.编制施工进度计划
B.收集施工进度计划数据
C.落实施工管理组织
D.将实际数据与进度计划对比
6、在工程施工技术管理资料中,工程竣工文件作为工程施工技术管理资料的一部分,应包括竣工报告、竣工验收证明书和( )。
A.隐蔽工程验收资料
B.工程施工质量验收资料
C.工程质量保修书
D.工程质量控制资料
7、由于各行业、各部门的专业特点不同,各类工程的检验评定均有相应的( )标准,工程质量验收资料的建立均应按相关的标准办理。
A.技术
B.质量
C.数量
D.法定
8、下列属于工程项目及其生产特点的是( )。
A.单件性
B.多件性
C.偶然性
D.隐蔽性
9、下列建设工程项目进度控制工作中,属于施工方进度控制任务的是( )。
A.部署项目动用准备工作进度
B.协调设计、招标的工作进度
C.编制项目施工的工作计划
D.编制供货进度计划
10、下列关于工程价格的计价方式,说法正确的是( )。
A.可调工料单价法不受时间价值的影响
B.固定综合单价法受时间价值的影响
C.固定综合单价法不包含风险费用
D.用固定综合单价法计算工程进度款比较简便,
11、注册建造师施工管理签章文件的填写表格中,施工项目负责人是指受聘于企业担任施工项目负责人的( )。
A.总监理工程师
B.专业监理工程师
C.机电工程专业技师
D.机电工程注册建造师
12、关于建筑花岗岩石材特性的说法,正确的是( )。
A.强度低
B.呈酸性
C.密度小
D.硬度低
13、某施工企业在编制施工组织总设计时,已完成的工作有:收集和熟悉有关资料和图纸、调查项目特点和施工条件、计算主要工种的工程量、确定施工的总体部署和施工方案,则接下来应该进行的工作是( )。
A.主要技术经济指标
B.编制施工总进度计划
C.编制资源需求量计划
D.施工总平面图设计
14、最迟完成时间是指()。
A.在各项紧前的工作全部完成后,工作有可能开始的最早时刻
B.在各项紧前的工作全部完成后,工作有可能完成的最早时刻
C.在不影响整个任务按期完成的前提下,工作必须开始的最迟时刻
D.在不影响整个任务按期完成的前提下,工作必须完成的最迟时刻
15、反映组成该项目所有子系统的是( )。
A.项目结构图
B.组织结构图
C.合同结构图
D.工作流程图
16、PDCA循环中,施工质量计划阶段的主要任务是( )。
A.明确并制定实际目标的行动方案
B.计划行动方案的交底
C.对计划实施过程进行各种检查
D.对施工质量问题进行原因分析,采取必要措施予以纠正
17、建设工程项目总进度目标论证的工作包括:1.进行项目结构分析;2.调查研究和收集资料;3.编制各层进度计划;4.协调各层进度计划的关系和编制总进度;5.确定项目的工作编码,其正确的工作步骤是( )
A.①→③→④→②→⑤
B.①→④→②→⑤→③
C.②→③→①→④→⑤
D.②→①→⑤→③→④
18、发包人收到竣工验收报告后( )内组织验收,并在验收后14大内给予认可或提出修改意见。
A.7天
B.14天
C.21天
D.28天
19、竣工图章尺寸为( )。
A.40mm×60mm
B.50mm×80mm
C.60mm×90mm
D.40mm×120mm
20、施工质量控制中,事后质量控制的重点是( )。
A.强调质量目标的计划预控
B.加强对质量活动的行为约束
C.对质量活动过程和结果的监督控制
D.发现质量缺陷并提出施工质量的改进措施,保持质量处于受控状态
21、施工单位在建设工程开工前编制的测量控制方案,需经( )批准后方可实施。
A.施工项目经理
B.总监理工程师
C.甲方工程师
D.项目技术负责人
22、对于一个建设工程项目而言,( )是管理的核心
A.施工方的项目管理
B.设计方的项目管理
C.供货方的项目管理
D.业主方的项目管理
23、有效工作时间是从生产效果来看与产品生产直接有关的时间消耗,不属于其内容的是( )。
A.休息和不可避免中断时间
B.基本工作对间
C.辅助工作时间
D.准备与结束工作时间
24、按(国发[2003]5号)《国务院关于取消第二批行政审批项目和改变一批行政审批项目管理方式》的规定:“取消建筑施工企业项目经理资质核准,由()代替,并设立过渡期。”
A.注册设备监理工程师
B.注册监理工程师
C.注册建造师
D.注册建筑师
25、已知某挖土机挖土的一个工作循环需2分钟,每循环一次挖土0.5m3,工作班的延续时间为8小时,时间利用系数K=0.85,则该机械的产量定额为()m3/台班。
A.12.8
B.15
C.102
D.120
26、项目组织结构模式反映了一个组织系统中( )。
A.各工作部门的管理职能分工
B.各组成部门之间的指令关系
C.各项工作之间的逻辑关系
D.各子系统的工作任务
27、事故的发生是两类危险源共同作用的结果,其中( )是事故发生的前提。
A.第一类危险源
B.第二类危险源
C.第一、第二类共同作用的结果
D.第一、第二类都不是
28、根据《建设工程工程量清单计价规范》GB 50500——2013,招标文件中要求投标人承担的风险费用,投标人应( )。
A.在投标总价的基础上加上一定比例
B.在综合单价中给予考虑
C.在总承包服务中给予考虑
D.在其他项目费中给予考虑
29、关于施工总承包单位安全责任的说法,正确的是( )。
A.总承包单位对施工现场的安全生产负总责
B.总承包单位的项目经理是施工企业第一负责人
C.业主指定的分包单位可以不服从总承包单位的安全生产管理
D.分包单位不服从管理导致安全生产事故的,总承包单位不承担责任
30、安全生产必须把好“六关”,这“六关”包括( )。
A.措施关、交底关、教育关、防护关、检查关、改进关
B.计划关、交底关、教育关、监控关、检查关、改进关
C.计划关、培训关、教育关、防护关、检查关、改进关
D.措施关、培训关、教育关、监控关、检查关、改进关
31、工程具备隐蔽条件或达到专用条款约定的中间验收部位,承包人进行自检,并在隐蔽或中间验收前( )h以书面形式通知工程师验收。
A.12
B.24
C.36
D.48
32、在偏差分析采用的方法中,( )反映的信息量少,一般在项目的较高管理层应用。
A.横道图法
B.网络图法
C.表格法
D.曲线法
33、某包工包料工程发包后,发包人在预付款期满后的7天内仍未支付的,承包人可在付款期满后的第( )天起暂停施工,发包人承担由此增加的费用和延误的工期。
A.7
B.8
C.14
D.15
34、凡涉及安全、功能的有关产品,应按各专业工程质量验收规范规定进行复验,并应经( )检查许可。
A.设计方
B.施工单位项目经理
C.施工单位技术负责人
D.监理工程师
35、某施工合同约定钢材由业主提供,其余材料均委托承包商采购。但承包商在以自有机械设备进行主体钢结构制作吊装过程中,由于业主供应钢材不及时导致承包商停工7天。则承包商计算施工机械窝工费向业主提出索赔时应按( )。
A.设备台班费
B.设备台班折旧费
C.设备使用费
D.设备租赁费
36、在影响施工质量的各个因素中,工程质量的基础是( )。
A.施工管理
B.材料质量
C.施工工艺
D.施工方法
37、由于工程或工程的任何部门对土地的占用造成的第三者财产损失,由( )承担责任。
A.监理人
B.发包方
C.承包方
D.当事人
38、根据《标准施工招标文件》,关于施工合同索赔程序的规定,正确的是( )。
A.设计变更发生后,承包人应在14天内向发包人提交索赔通知
B.索赔事件持续进行,承包人应在事件终了后立即提交索赔报告
C.承包人在发出索赔意向通知书后28天内,向监理人正式递交索赔通知书
D.索赔意向通知发出后42天内,承包人应向监理人提交索赔报告及有关资料
39、某工厂设备基础的混凝土浇筑过程中,由于施工管理不善,导致28d的混凝土实际强度达不到设计规定强度的30%。对这起质量事故的正确处理方法是()。
A.返工处理
B.修补处理
C.加固处理
D.不作处理
40、工程产品质量不合格,是指该工程产品没有满足( )的要求。
A.业主方
B.监理方
C.设计方
D.某个规定
41、施工方的项目管理除了施工总承包方的项目管理之外,还包括( )的项目管理。
A.材料供货方
B.设备供应商
C.建设项目总承包方
D.施工分包方
42、PDCA循环中,检查阶段的主要任务是( )。
A.对计划实施过程进行各种检查
B.展开施工作业技术活动
C.对施工质量问题进行原因分析,采取必要措施予以纠正
D.明确并制定实现目标的行动方案
43、施工成本管理的措施中,( )是其他各类措施的前提和保障。
A.组织措施
B.技术措施
C.经济措施
D.合同措施
44、施工总承包费用控制一般以( )为投标报价的基础。
A.初步设计
B.施工图设计
C.技术设计
D.可行性研究报告
45、若某事件经过风险评估,位于事件风险量区域图中的风险区C,则应( )。
A.采取措施,降低其发生概率,使它移位至风险区D
B.采取措施,降低其损失量,使它移位至风险区B
C.采取措施,降低其发生概率,使它移位至风险区B
D.采取措施,降低其损失量,使它移位至风险区D
46、某房地产开发商开发某楼盘,该楼盘由三栋住宅楼和一个会所组成,分两期开发,第一期为A、B两栋住宅楼,第二期为C住宅楼和会所,则项目一期工程施工图设计进度计划属于( )编制进度计划。
A.业主方
B.建设方
C.施工方
D.设计方
47、国际上被广泛接受和采用的是( )。
A.变动总价合同
B.固定总价合同
C.单价合同
D.成本加酬金合同
48、采用成本加酬金合同时,( )不承担任何价格变化或工程量变化的风险。
A.业主
B.承包商
C.发包商
D.分包商
49、根据《建设工程工程量清单计价规范》(GB 50500—2008),招投标时不能作为竞争性费用的是( )。
A.夜间施工费
B.冬雨季施工费
C.安全文明施工费
D.已完工程及设备保护费
50、某施工项目地下水位较高,需人工降水,由此产生的费用属于( )
A.不可预见费
B.措施费
C.营业外支出
D.管理费
51、按照安全文明施工的有关规定,施工现场设置的钢制大门高度不宜低于()m。
A.3.0
B.4.0
C.4.5
D.5.0
52、业主方和项目参与各方可根据各自的项目管理的需求确定其信息管理的分类,但为了信息交流的方便和( ),应尽可能作一些统一分类的规定。
A.信息完整性
B.实现部分信息共享
C.信息加工处理
D.信息分类汇总
53、某建筑公司承担一大学新校区工程项目的施工任务,主要项目有图书馆、教学楼、学生宿舍等。在进行工程竣工成本综合分析时,可作为成本核算对象的是( )。
A.新校区工程项目
B.单项工程,如图书馆、教学楼、学生宿舍
C.单位工程,如图书馆土建工程
D.分部工程,如图书馆打桩工程
54、下列关于质量保证体系的说法中,错误的是()。
A.工程质量保证体系就是以控制和保证施工产品质量为目标
B.工程质量保证体系的运行是以质量计划为主线
C.质量保证体系是企业内部的一种管理手段
D.质量保证体系的内容包括项目的质量目标和项目施工质量两部分
55、根据《建筑安装工程费用项目组成》(建标[2003]206号),施工企业生产工人的劳动保护费应计入建筑安装工程()。
A.直接工程费中的人工费
B.措施费
C.企业管理费中的劳动保险费
D.社会保障费
56、关于施工质量控制特点的说法,正确的是( )。
A.需要控制的因素少,只有4M1E五大方面
B.生产受业主监督,因此过程控制要求低
C.施工生产的流动性导致控制的难度大
D.工程竣工验收是对施工质量的全面检查
57、设计方进度控制的任务是依据( )对设计工作进度的要求,控制设计工作进度。
A.可行性研究报告
B.设计标准和规范
C.设计任务委托合同
D.设计总进度纲要
58、施工过程中对危险因素的分析不包括()。
A.新工艺防护
B.安全防护工作
C.关键特殊工序防护
D.特殊工种防护
59、施工项目成本控制工作从施工项目( )开始直到竣工验收,贯穿于全过程。
A.设计阶段
B.投标阶段
C.施工准备阶段
D.正式开工
60、大型建设工程项目总进度目标论证的核心工作是通过( )论证总进度目标实现的可能性。
A.工程实施条件分析
B.编制总进度纲要
C.编制施工进度计划及相关的资源需求计划
D.编制多个不同的建设工程项目进度计划系统
61、调整合同价格属于( )。
A.工期索赔
B.延期索赔
C.费用索赔
D.变更索赔
62、实施环境管理体系标准的关键是( )。
A.强制性执行
B.坚持持续改进和环境污染预防
C.必须成为独立的管理系统
D.不能与其他管理体系兼容
63、下列施工承包合同形式中,承包商承担全部工程量和价格风险的是()。
A.单价合同
B.固定总价合同
C.变动总价合同
D.成本加酬金合同
64、工程项目施工进度计划是针对( )为对象编制的。
A.整个企业
B.分部分项工程
C.作业班组
D.一个具体工程项目
65、分部分项工程量清单中的工程量乘以( )得到的是分部分项工程费用。
A.单价
B.综合单价
C.综合总价
D.总价
66、在业主方项目管理的任务中,最重要的任务是( )。
A.合同管理
B.投资控制
C.质量控制
D.安全管理
67、竣工结算报表由( )审核。
A.总监理工程师代表
B.专业监理工程师
C.总监理工程师
D.发包人
68、( )是建立施工项目成本管理责任制、开展成本控制和核算的基础。
A.施工成本预测
B.施工成本控制
C.施工成本计划
D.施工成本核算
69、在组织结构图中,矩形框表示( )。
A.工作任务
B.工作部门
C.管理职能
D.工作人员
70、反映项目管理班子内部项目经理、各工作部门和各工作岗位对各项工作任务的管理职能分工,所采用的组织工具是()。
A.工作任务分工表
B.管理任务表
C.管理职能分工表
D.项目管理工作表
二、多项选择题(每小题2分,共50分)参考答案见试卷末尾
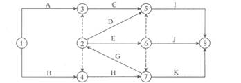
1、某分部工程双代号网络计划如下图所示,其作图错误包括( )。
A.多个起点节点
B.多个终点节点
C.节点编号有误
D.存在循环回路
E.有多余虚工作
2、
某工程发生费用偏差,在引起偏差的原因中,属于设计原因的有( )。
A.图纸提供不及时
B.设计标准变化
C.投资规划不当
D.增加内容
E.设计漏项
3、施工质量事故处理的程序是( )。
A.事故报告
B.现场保护
C.事故调查
D.事故处理
E.恢复施工
4、审核有关()是项目经理对工程质量进行全面管理的重要手段。
A.技术文件
B.报告
C.数据
D.报表
E.数字
5、由不同深度的计划构成的进度计划系统包括( )。
A.总进度计划
B.项目子系统进度计划
C.单项工程进度计划
D.单位工程进度计划
E.工序作业进度计划
6、根据《建筑工程施工质量验收统一标准》(GB50300-2001),建筑工程质量验收的划有( )。
A.施工工序
B.检验批
C.分项工程
D.分部工程
E.单位工程
7、下列关于建安工程费用主要结算方式的表述,正确的有( )。
A.实行按月结算的工程,竣工后不需竣工结算
B.实行分段结算的工程,可以按月预支工程款
C.实行分段结算的工程,是按分部分项工程进行结算的
D.实行竣工后一次结算的工程仅为承包合同价在100万元以下的工程,按双方约定方式结算
E.实行竣工后一次结算和分段结算工程,当年结算款应与分年度工作量一致
8、承包工程价款的结算方式包括( )。
A.按月结算
B.按年结算
C.分段结算
D.竣工后一次性结算
E.双方约定的其他结算方式
9、某分部工程双代号网络图计划如下图所示,图中的错误有( )。
A.多个起点节点
B.存在循环回路
C.多个终点节点
D.节点编号有误
E.工作代号重复
10、
质量管理体系认证的程序是由具有公正的第三方认证机构,依据质量管理体系的要求标准,审核企业质量管理体系要求的符合性和实施的有效性,进行( )的评价,得出结论。
A.独立
B.客观
C.科学
D.公平
E.公正
11、下列有关管理职能承担部门的表述,正确的是( )。
A.项目经理助理主要检查夜班施工后的效果
B.进度控制部门负责跟踪和提出有关进度的问题
C.施工协调部门对进度问题进行分析,提出两个可能的方案,并对其进行比较
D.项目经理在几个可供选择的方案中,决定采用夜班加班作业
E.施工协调部门负责执行项目经理的决策,监督夜班施工
12、某施工企业承担了某项施工任务,为保证项目目标的实现,项目经理做了以下各项工作,其中属于项目目标事前控制的内容有()。
A.收集项目目标的实际值
B.定期进行项目目标的计划值与实际值比较
C.事前分析可能导致目标偏离的各种影响因素
D.针对影响项目目标的各种因素采取预防措施
E.当发现目标偏离时,采取纠偏措施进行纠偏
13、施工总承包管理模式在费用控制方面的特点有( )。
A.某一部分工程的施工图完成后,由业主单独或与施工总承包管理单位共同进行该部分工程的施工招标,分包合同的投标报价较有依据
B.对分包单位的费用控制主要由施工总承包管理单位进行
C.每一部分工程的施工,发包人都可以通过招标选择最好的施工单位承包,获得最低的报价,对降低工程造价有利
D.在进行施工总承包管理单位的招标时,只确定总承包管理费,没有合同总造价,是业主承担的风险之一
E.多数情况下,由业主方与分包人直接签约,加大了业主方的风险
14、业主方和项目参与各方都有各自的项目管理任务及其管理职能分工。管理职能由提出问题、筹划、决策、执行、检查等组成。下列选项中,符合管理职能内涵的表达方式的有( )。
A.明确加快进度的多种可能方案
B.明确安全生产管理由谁负责
C.发现实际成本项目超出了预算
D.执行进度控制计划
E.从多种方案中选定一个拟执行的方案
15、下列情形中,视为投标人相互串通投标的有( )。
A.不同投标人的投标文件由同一人编制
B.不同投标人的投标文件的报价呈规律性差异
C.不同投标人的投标文件相互混装
D.属于同一组织的成员按照该组织要求协同投标
E.投标人之间约定部分投标人放弃投标
16、除了制度保证体系外,施工安全保证体系还包括( )。
A.组织保证体系
B.技术保证体系
C.投入保证体系
D.管理保证体系
E.信息保证体系
17、施工文件档案的档号由()组成。
A.档案馆代号
B.分类号
C.案卷号
D.项目号
E.序号
18、关于施工安全技术措施的说法中,正确的有( )。
A.安全技术措施可以边施工边编制
B.设计发生变更时,安全技术措施无需变更
C.土石方工程必须编制单独的分部分项工程安全技术措施
D.安全技术措施的编制要考虑季节性施工的特点
E.施工安全技术措施中不包含施工总平面图
19、第一类危险源控制方法一般包括( )。
A.消除危险源
B.增加安全系数
C.个体防护
D.应急救援
E.消除或减少故障
20、固定总价合同适用于以下哪些情况。( )
A.工程量小、期短,估计在施工过程中环境因素变化小,工程条件稳定并合理
B.工程设计不详细,图纸不完整
C.工程结构和技术简单,风险小
D.投标期相对宽裕
E.合同条件不完备
21、以下表述符合工程监理单位的质量责任的是( )。
A.依法取得相应资质等级证书
B.在资质等级许可的范围内承担工程监理业务
C.工程监理企业与建筑材料供应单位是上下级关系
D.工程监理企业依照法律法规、有关技术标准、设计文件和建设工程承包合同实施监理
E.工程监理企业对施工质量承担监理责任
22、建设工程安全事故调查报告的主要内容包括()。
A.事故发生单位概况
B.事故造成的直接经济损失
C.事故发生的原因和事故性质
D.事故报告单位或报告人员
E.事故防范和整改措施
23、下列施工质量的影响因素中,属于质量管理环境因素的有()。
A.施工单位的质量管理制度
B.各参建单位之间的协调程度
C.管理者的质量意识
D.运输设备的使用状况
E.施工现场的道路条件
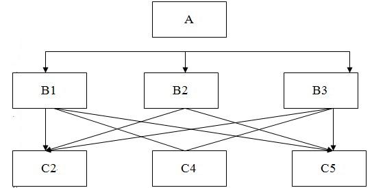
24、下图所示的项目组织结构模式的特点有( )。
A.每一个部门可根据其职能对其直接和非直接的下属部门下达指令
B.每一个部门可能得到其直接和非直接的上级部门下达的工作指令
C.每一个部门可能会有多个矛盾的指令源
D.上下级指令传递的路径较长
E.矛盾的指令会影响项目管理机构的运行
25、大体积混凝土的浇筑方案主要有( )等方式。
A.全面分层
B.分段分层
C.斜面分层
D.均匀分层
E.交错分层
参考答案:
【一、单项选择题】
1~5 DDCBD 6~10 CAACD
11~70点击安装“二建APP”查看答案
【二、多项选择题】
1 ACE 2 ABE 3 CD 4 ABD 5 ABC
6~25点击安装“二建APP”查看答案
如果这样刷题不过瘾,请立即安装APP刷题,历年真题、高质量模拟题应有尽有。