教师公开招聘考试全国没有统一的考试形式和考试大纲,部分省份实行全省统一考试,但大部分省份还是由当地区县教育局根据当地区县各学校招聘老师人员进行汇总,然后由区县教育局和人事局统一组织招聘考试,考试形式一般分为笔试和面试,有些地区直接笔试,无需面试。上学吧教师公开招聘题库板块在教育理论综合知识、公共基础知识以及专业基础知识都精心汇编了大量的模拟试题和专项训练题,希望这些努力可以帮助到您。现在就点击安装APP刷题。以下为试卷的详细内容:
一、单选题(0.5)单选题(每题0.5分)参考答案见试卷末尾
1、将一枚硬币抛掷两次,则这枚硬币两次正面都向上的概率为( )。
A.A
B.B
C.C
D.D
2、下列各式不正确的是( )。
A.A
B.B
C.C
D.D
3、已知函数?(x)=|2x+1|+|2x-3|。若关于x的不等式?(x)>;a恒成立,则实数a的取值范围( )。
A.a<;4
B.a≥4
C.a≤4
D.a>;4
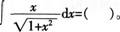
4、
为( )。
5、
A.1/5
B.3
C.2/3
D.13/9
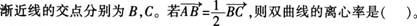
6、

7、

8、若向量a与b的夹角为75o,|a|=2sin150o,|b|=4cos15o,则a·b的值为( )。
A.-1
B.1
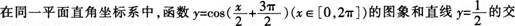
9、
A.最小正周期为π的奇函数
B.最小正周期为π的偶函数
10、100名学生进行20秒钟跳绳测试,成绩统计如下表:
则这次测试成绩的中位数m满足( )。
A.40<;m≤50
B.50<;m≤60
C.60<;m≤70
D.70<;m
11、抛物线C1:y=x2+1与抛物线C2关于x轴对称,则抛物线C2的解析式为( )。
A.y=-x2
B.y=-x2+1
C.y=x2-1
D.y=-x2-1
12、已知等差数列{an}的前几项和为Sn,若a8=18-a1,则S8等于( )。
A.36
B.54
C.72
D.144
13、
A.k≠1
B.k≠1或k≠3
C.k=3
D.k≠-1且k≠3
14、
A.1
B.2
C.3
D.4
15、若?(x)在x0处可导,则?(x)|在x0处( )。
A.必可导
B.连续,但不一定可导
C.一定不可导
D.不连续
16、
A.30o
B.45o
C.60o
D.75o
17、设Sn是公差为d(d≠0)的无穷等差数列{an}的前n项和,则下列命题错误的是( )。
A.若d<;0,则数列{Sn}有最大项
B.若数列{Sn}有最大项,则d<;0
C.若数列{Sn}是递增数列,则对任意的n∈N*,均有Sn>0
D.若对任意的n∈N*,均有Sn>0,则数列{Sn}是递增数列
18、
A.arcsinx+c
B.arccosx+c
C.arctanx+c
D.arccotx+c
19、
A.-2
B.5
C.-5
D.1
20、

二、单选题(1分)参考答案见试卷末尾
1、《义务教育数学课程标准(2011年版)》中规定的“应用意识”的内涵是( )。
A.意识利用数学的概念、原理和方法解释现实世界中的现象,解决现实世界中问题
B.认识到现实生活中蕴含着大量与数量和图形有关的问题
C.意识到应用数学知识
D.A和B
2、下列内容属于《义务教育数学课程标准(2011年版)》第三学段“数与式”的是( )。 ①有理数②方程③实数④代数式⑤整式与分式
A.①②③④
B.①②④⑤
C.①③④⑤
D.①②③⑤
3、只用1,2,3三个数字组成一个四位数,规定这三个数必须同时使用,且同一数字不能相邻出现,这样的四位数有( )。
A.6个
B.9个
C.18个
D.36个
4、
一汽车经过启动、匀加速行驶、匀速行驶、匀减速行驶之后停车,若把这一过程中汽车的行驶路程s看作时间t的函数,其图象可能是( )。
5、下列说法正确的是( )。
A.圆锥的体积等于圆柱体积的三分之一
B.不相交的两条直线是平行线
C.正方形、长方形、正三角形、圆形都是轴对称图形
D.小数点的后面添上0或去掉0,小数的大小不变
6、下列说法正确的是( )。
A.两个面积相等的三角形一定能拼成一个平行四边形
B.分数的分子与分母同时乘或除以相同的数,分数的大小不变
C.在一个比例中,两个内项的积是1,那么这个比例的两个外项互为倒数
D.把一根钢管截成5段,每段是全长的五分之一
7、下列各数中能化成有限小数的是( )。
8、有8张卡片分别标有数字1、2、3、4、5、6、7、8,从中取出6张卡片排成3行2列,要求3行中仅有中间行的两张卡片上的数字之和为5,则不同的排法共有( )。
A.1344种
B.1248种
C.1056种
D.960种
9、
A.3
B.-3
C.±3
D.9
10、阅读如图所示的程序框图,若编入的k=10,则该算法的功能是( )。
A.计算数列{2n-1)的前10项和
B.计算数列{2n-1)的前9项和
C.计算数列(2n-1)的前10项和
D.计算数列(2n-1的前9项和
11、函数y=ax在[0,1]上的最大值与最小值的和为3,则a等于( )。
A.1/2
B.2
C.4
D.1/4
12、
A.100
B.1001
C.-100
D.-1001
13、下列不属于《义务教育数学课程标准(2011年版)》中要求的“图形与几何”课程领域的学习内容的是( )。
A.图形的性质
B.图形的运动
C.图形与变化
D.图形与坐标
14、

15、掷一个骰子实验,事件A表示“小于5的偶数点出现”,事件B表示“小于5的点数出现”,则事件A+B发生的概率为( )。
16、甲、乙两车间原有人数的比为4:3,甲车间调12人到乙车间后,甲、乙两车间的人数变为2:3,甲车间原有人数是( )。
A.18人
B.35人
C.40人
D.144人
17、已知等比数列{an}中,a2=1,则其前3项的和S3的取值范围是( )。
A.(-∞,-1]
B.(-∞,0)∪(1,+∞)
C.[3,+∞)
D.(-∞,-1]∪[3,+∞)
18、下列一元二次方程中没有实数根的是( )。
A.x2+2x-4=0
B.x2-4x+4=0
C.x2-2x-5=0
D.x2+3x+4=0
19、设直线ι
平面a,过平面a外一点A,与ι,a都成30o角的直线有且只有( )。
A.1条
B.2条
C.3条
D.4条
20、
点个数是( )。
A.0
B.1
C.2
D.4
21、生产过程有4道工序,每道工序需要安排一人照看,现从甲乙丙等6名工人中安排4人分别照看一道工序.第一道工序只能从甲乙两工人中安排1人,第四道工序只能从甲丙两工人中安排1人,则不同的安排方案有( )。
A.24种
B.36种
C.48种
D.72种
22、集合A={0,2,a2},B={0,1,a),若A∩B={0,1},则实数a的值为( )。
A.0
B.-1
C.1
D.-1或1
23、已知△ABC~△DEF,且AB:DE=1:2,则△ABC的周长与△DEF的周长之比为( )
A.2:1
B.1:2
C.1:4
D.4:1
24、观察下列事实:|x|+|y|=1的不同整数解(x,y)的个数为4,|x|+|y|=2的不同整数解(x,y)的个数为8,|x|+|y|=3的不同整数解(x,y)的个数为12……则|x|+|y|=20的不同整数解(x,y)的个数为( )。
A.76
B.80
C.86
D.92
25、已知,在Rt△ABC中,两直角边AC、BC的长分别为6和8,现将直角边AC沿AD折叠,使它落在斜边AB上,且与AE重合,则CD等于( )。
A.2
B.3
C.4
D.5
26、
A.-1
B.0
C.1
D.2
27、
A.0
B.1
C.2
D.3
28、

29、从甲、乙等10个同学中挑选4名参加某项公益活动,要求甲、乙中至少有1人参加,则不同的挑选方法共有( )。
A.70种
B.112种
C.140种
D.168种
30、若?(x)sinx是周期为π的奇函数,则?(x)可以是( )。
A.sinx
B.cosx
C.sin2x
D.cos2x
31、不等式ax>;a的解集为x>;1,则。的取值范围是( )。
A.a>;0
B.a≥0
C.a<;0
D.a≤0
32、下列选项正确的是( )。
A.一种商品先提价10%,再降价10%,价格不变
B.圆的半径扩大3倍,它的面积就扩大6倍
C.侧面积相等的两个圆柱,它们的体积也相等
D.两个合数可以是互质数
33、

34、若Sn为等差数列前n项和,有S5=30,S10=120,求S15为( )。
A.260
B.270
C.280
D.290
35、设a,b是两条直线,a,β是两个平面,则a⊥b的一个充分条件是( )。
36、

37、


38、一瓶酱油约为458( )。
A.立方分米
B.升
C.毫升
D.立方米
39、设“”“△”“口”表示三种不同的物体,现用天平称了两次,情况如图所示,那么“”“△”“口”质量从大到小的顺序排列为( )。
A.口○△
B.口△○
C.△○口
D.△口○
40、从10名大学生毕业生中选3个人担任村长助理.则甲、乙至少有1人人选,而丙没有人选的不同选法的种数位( )。
A.85
B.56
C.49
D.28
参考答案:
【一、单选题(0.5)】
1~5 CBADD 6~10 CBBBB
11~20点击安装“教师招聘题库APP”查看答案
【二、单选题(1分)】
1~5 DCCAC 6~10 CDBAA
11~40点击安装“教师招聘题库APP”查看答案
如果这样刷题不过瘾,请立即安装APP刷题,历年真题、高质量模拟题应有尽有。