高职单招是为了突出高职教育特色,推进高考招生制度改革,选拔综合素质高和具有创新能力、实践能力、特殊才能的优秀高中毕业生进入高职院校学习而推出的重大政策。高等职业教育院校根据自身专业教学需要设置考试科目,自主命题、考试、评卷、面试、录取,上学吧高职单招题库汇编了各高校的历年真题及大量模拟试题,如果您需要刷题练习,现在就点击安装APP刷题。以下为试卷的详细内容:
一、单项选择题 一、单项选择题(本大题共10小题,每小题5分,共50分)参考答案见试卷末尾
1、已知集合A={0,1,2,3},B={2,3,4},则A∪B=()
A.{0,1,2,3,4}
B.{2,3,4}
C.{0,1,2,3}
D.{2,3}
2、设i为虚数单位,则(1 +i )i=()
A.1 + i
B.1-i
C.-1 + i
D.- 1 -i
3、在等比数列{an}中,a1=1,a2=2,则a4=()
A.2
B.4
C.8
D.16
4、已知平面向量a = (4,3),ft = (m,6),且a//b,则m=()
A.2
B.4
C.6
D.8
5、已知某高职院校共有5个高职单招文化考试考场,每名考生被安排到每个考场的可能性相同,两名考生一同前往该校参加高职单招文化考试,则他们在同一考场考试的概率为()
A.1/25
B.2π/3
C.π
D.2π
6、函数y=sin2xccosx+cos2xsinx 的最小正周期是( )
A.π/3
B.2π/3
C.π
D.2π
7、直线3x +4y - 15 =0被圆x2+y2=25所截得的弦长为()
A.3
B.4
C.6
D.8
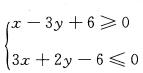
8、不等式组
表示的平面区域(含边界的阴影部分)是()
A.
B.
C.
D.
9、某报告统计的2009年至2017年我国高速铁路运营里程如下图所示: 根据上图,以下关于2010年至2017年我国高速铁路运营里程的说法错误的是()
A.高速铁路运营里程逐年增加
B.髙速铁路运营里程年增长量最大的年份是2014年
C.高速铁路运营里程年增长率逐年增加
D.与2012年相比,2017年高速铁路运营里程增加了 1倍以上
10、用max{ a,6,c }表a,6,c三个数中的最大值,设函数f(x) = max {2x,x2,x + 2},则函数f(x)的最小值为()
A.0
B.1
C.2
D.4
参考答案:
【一、单项选择题】
1~5 ACCDC 8 B 6~10 BDC
如果这样刷题不过瘾,请立即安装APP刷题,历年真题、高质量模拟题应有尽有。