二级建造师考试是一个参与人数众多,在建筑行业有重要地位的考试,想要报考的人员需要满足一定的条件。二级建造师考试内容包括《建设工程施工管理》、《建设工程法规及相关知识》及《专业工程管理与实务》(共分建筑、公路、水利水电、机电、矿业、市政公用6个专业)。上学吧二级建造师题库包含了近10年的历年真题及答案解析、另外还包含很多高质量的模拟题,是大家通过考试的好帮手。现在点击安装APP刷题,以下为试卷的详细内容:
一、单项选择题 每小题1分,共70题参考答案见试卷末尾
1、建设项目管理过程中,负责施工的总体管理和协调,也可按业主要求负责整个施工招标和发包工作的主体是()。
A.施工总承包方
B.工程监理方
C.施工总承包管理方
D.设计方
2、关于施工总承包管理方责任的说法,正确的是()。
A.与分包单位签订分包合同
B.承担项目施工任务并对其工程质量负责
C.组织和指挥施工总承包单位的施工
D.负责对所有分包单位的管理及组织协调
3、关于项目工作流程图的说法,正确的是()。
A.项目各参与方应形成统一的工作流程图
B.工作流程图反映组织系统中各工作间的逻辑关系
C.工程流程图中用菱形框表示工作和工作的执行者
D.工作流程图中用双向箭线表示工作间的逻辑关系
4、施工企业采用矩阵式组织结构,若纵向工作部门是工程计划、人事管理、设备管理等部门,则横向工作部门可以是()。
A.技术管理部门
B.施工项目部
C.合同管理部门
D.财务管理部
5、根据企业安全技术措施计划的编制步骤,工作活动分类后紧接着应进行的工作是()。
A.风险确定
B.危险源识别
C.风险评价
D.安全技术措施计划论证
6、编制施工组织总设计时,编制资源需求量计划前必须完成的工作是()。
A.编制施工总进度计划
B.绘制施工总平面图
C.编制施工准备工作计划
D.计算技术经济指标
7、项目施工成本动态控制过程中,对成本的实际值和计划值进行比较时,若将工程合同价作为计划值,则可作为实际值的是()。
A.投标报价值
B.设计概算
C.最高投标限价
D.施工成本的规划值
8、根据《建设工程项目管理规范》,下列工作内容中,属于施工方项目经理权限的是()。
A.主持项目的投标工作
B.组建工程项目经理部
C.制定项目管理机构管理制度
D.主持制定项目管理目标责任书
9、下列责任内容中,应由施工项目经理承担的是()。
A.施工安全、质量责任
B.企业市场经营责任
C.项目投标责任
D.企业总部管理责任
10、施工风险管理工作包括:①施工风险应对;②施工风险评估;③施工风险识别;④施工风险监控。其正确的流程是()。
A.③—②—④—①
B.②—③—④—①
C.③—②—①—④
D.①—③—②—④
11、根据《建设工程监理规范》,项目监理机构在召开第一次工地会议前应将工程建设监理规划报送()
A.建设单位
B.建设主管部门
C.施工单位
D.设计单位
12、项目竣工验收前,施工企业按照合同约定对已完成工程和设备采取必要的保护措施所发生的费用应计入()
A.总承包管理费
B.措施项目费
C.企业管理费
D.其他项目费
13、工程造价管理机构在确定计价定额人工费时,采用的人工日工资单价应按照()确定。
A.本地区领先的施工企业平均技术熟练程度工人的每工作日应得的日工资总额
B.施工企业最熟练的技术工人每工作日按规定从事施工作业应得的日工资总额
C.施工企业平均技术熟练程度工人在每工作日按规定从事施工作业的日工资总额
D.本领域大多数施工企业一般熟练技术程度工人每工作日实际得到的工资总额
14、对于产品规格多、工序重复、工作量小的施工过程,以同类型工序或同类型产品的实耗工时为标准制定人工定额的方法是()。
A.经验估价法
B.统计分析法
C.比较类推法
D.技术测定法
15、关于预算定额的说法,正确的是()。
A.预算定额以工序为对象进行编制
B.预算定额可以直接用于施工企业作业计划的编制
C.预算定额是编制概算定额的基础
D.预算定额是编制施工定额的依据
16、关于清单项目和定额子目关系的说法,正确的是()。
A.清单项目的工程量和定额子目的工程量完全一致
B.清单项目的工程量和定额子目的工程量可能不一致
C.清单工程量与定额工程量的计算规则是一致的
D.清单工程量可以直接用于合同施工过程中的计价
17、根据《建设工程工程量清单计价规范》,编制投标文件时,招标文件中的已确定暂估单价的某种材料,在确定相关分部分项工程综合单价时,该材料单价按照()计算。
A.政府建设主管部门公布的信息价
B.投标人自主确定的材料价格
C.招标文件提供的材料暂估单价
D.投标时当地该材料的市场平均价格
18、某工程根据《建设工程施工合同(示范文本)》订立了承包合同,约定措施项目费为300万元。工程实施过程中,由于工程变更引起施工方案改变,项目经理部编制的变更施工方案经本单位技术负责人审批后即组织实施。工程完成后,承包人提出由于施工方案改变应增加措施项目费30万元的索赔,其中按单价计算的18万元,按总价计算的12万元。则应结算的措施项目费为()。
A.312
B.318
C.330
D.300
19、根据《建设工程施工合同(示范文本)》,因不可抗力导致合同无法履行连续超过84天时,关于施工合同解除的说法,正确的是()
A.仅发包人有权提出解除合同
B.发包人和承包人均有权提出解除合同
C.仅承包人有权提出解除合同
D.发包人和承包人均无权提出解除合同
20、下列施工成本管理措施中,属于组织措施的是()。
A.编制合理的资金使用计划,节约资金成本
B.选用满足功能要求且成本低的施工机械
C.明确各级成本管理人员的任务和责任
D.通过代用、使用外加剂等方法减少材料消耗量
21、在施工过程中对影响成本的因素加强管理,采取各种有效措施保证消耗和支出不超过成本计划,该做法属于成本管理任务中()的工作内容。
A.成本核算
B.成本分析
C.成本考核
D.成本控制
22、与曲线法相比,采用横道图方法进行施工项目费用进度综合偏差分析的优点是()。
A.可以准确表达出费用的绝对偏差
B.比较直观反映费用偏差变化趋势
C.比较容易表达出进度的相对偏差
D.比较容易预测进度偏差
23、关于按工程实施阶段编制施工成本计划的说法,正确的是()。
A.施工成本应按时间进行分解,分解的越细越好
B.首先要将总成本分解到单项工程和单位工程中
C.首先要将成本分解为人工费、材料费和施工机具使用费
D.可在控制施工进度的网络图基础上进一步扩充得到施工成本计划
24、通过计算材料成本及其占总成本的比重以判定材料成本的合理性,该成本分析方法是()。
A.相关比率法
B.指标对比分析法
C.动态比率法
D.构成比率法
25、建设工程项目总进度目标论证的核心工作是()。
A.编制项目总进度计划
B.编制项目总进度纲要
C.通过编制项目总进度计划论证进度目标值措施的有效性
D.通过编制总进度纲要论证总进度目标实现的可能性
26、下列与施工进度有关的计划中,属于施工企业生产计划的是().
A.项目施工进度计划
B.供货工作进度计划
C.生产资源调配计划
D.施工总进度计划
27、工作A持续4天,最早第2天开始,有两个紧后工作:工作B持续1天,最迟第10天开始,总时差2天;工作C持续2天,最早第9天完成。则工作A的自由时差是()天。
A.0
B.1
C.3
D.2
28、关于单代号网络计划绘制要求的说法,正确的是()。
A.所有逻辑关系均用箭线表示
B.所有时间读数都应标注在节点
C.工作间的间隔时间用波形线表示
D.节点编号必须连续
29、关于网络计划中关键线路正确的是()。
A.一个网络计划只能有一条关键线路
B.全部由关键工作组成的线路是关键线路
C.全部由关键节点组成的线路是关键线路
D.总持续时间最长的线路是关键线路
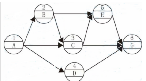
30、某单代号网络图如图所示,其逻辑关系表述正确的是()
A.工作B完成后,即可进行工作E
B.工作C完成后,即可进行工作G
C.工作E、D均完成后,才能进行工作G
D.工作B、C均完成后,才能进行工作E
31、关于横道图进度计划中有关时间表示的说法,正确的是()。
A.最小的时间单位是天
B.横道图不能表示出停工时间
C.时间单位可以是工作日
D.横道图可以表示工作量最迟开始时间
32、某项目网络计划如图所示(时间单位:天),关于D工作的说法,正确的是()。
A.工作D只能出现在关键线路上
B.工作D只能出现在非关键线路上
C.工作D可以出现在非关键线路上
D.工作D总时差不为零
33、某工程项目施工中,针对实际施工进度滞后的状况,施工单位改进了施工工艺,该做法表明施工单位采取了()措施进行项目目标动态控制。
A.技术
B.管理
C.经济
D.组织
34、下列施工方进度控制的工作中,首先应进行的工作是()
A.编制施工进度计划
B.进行施工进度计划交底
C.编制资源需求计划
D.进行施工进度检查和调整
35、建设工程项目实施过程中,对资源需求计划进行分析的是()。
A.验证进度计划实现的可能性
B.落实加快工程进度所需的资金
C.优化资源消耗
D.落实经济激励措施
36、根据《建筑工程五方责任主体项目负责人质量终身责任追究暂行办法》,对质量承担全面责任的()。
A.设计单位项目负责人
B.施工单位项目负责人
C.监理单位项目负责人
D.建设单位项目负责人
37、根据《建筑工程五方责任主体项目负责人质量终身责任追究暂行办法》,项目负责人承担工程质量终身责任的时间期限是()。
A.工程经济寿命
B.工程缺陷责任期
C.工程保修年限
D.工程设计使用年限
38、施工企业质量管理体系获准认证的有效期是()年。
A.二
B.五
C.三
D.六
39、下列施工企业质量管理体系文件中,包含企业质量目标和质量方针的指标是()。
A.质量手册
B.程序文件
C.质量计划
D.质量方针
40、《住宅质量分户验收表》应由()出具。
A.建设单位
B.施工单位
C.监理单位
D.政府质量监督机构
41、下列施工现场质量检查方法中,属于理化试验方法的是()。
A.超声波焊缝探伤
B.基桩静载试验
C.门窗口对角线直尺检查
D.混凝土构件标高测量
42、质量控制点的设置应选择施工过程中的重点部位,重点工序和()
A.重点流程
B.重点结果
C.重点质量因素
D.重点质检手段
43、某施工生产安全事故,造成2人死亡,11人重伤,直接经济损失5500万元,则该事故属于()。
A.重大事故
B.特别重大事故
C.较大事故
D.一般事故
44、某工程混凝土结构出现了宽度大于0.3mm的裂缝,经分析研究不影响结构的安全和使用,可采取的处理方法是()
A.返工处理
B.返修处理
C.限制使用
D.不做处理
45、根据《质量管理体系基础和术语》,凡工程产品未满足质量要求就称为()
A.质量问题
B.质量缺陷
C.质量事故
D.质量不合格
46、建设工程质量监督档案归档时,应由()签字。
A.总监理工程师
B.质量监督机构负责人
C.建设单位项目负责人
D.建设行政主管部门负责人
47、工程项目基础部位的质量验收证明应由()报送质量监督机构备案。
A.勘察单位
B.建设单位
C.监理单位
D.施工单位
48、建设工程实行施工总承包的,对施工现场安全生产负总责的单位是()。
A.建设单位
B.监理单位
C.总承包单位
D.咨询单位
49、关于《环境管理体系要求及使用指南》体系标准应用原则的说法,正确的是()。
A.该标准的实施强调自愿性原则
B.着眼于各部门自己制定的管理措施
C.是一个独立的系统,不纳入其他管理体系中
D.强调组织最高管理者的承诺而非全员参与
50、工程项目实施过程中,施工单位为确保安全,在处理安全隐患时,设置了多道防线,体现了对安全隐患处理的()。
A.单项隐患综合处理原则
B.冗余安全度处理原则
C.防灾与减灾并重处理原则
D.重点处理原则
51、根据《建设工程安全生产管理条例》,施工单位对达到一定规模的危险性较大的分部分项工程应当编制专项施工方案,并经施工单位技术负责人和()签字后实施。
A.总监理工程师
B.项目经理
C.项目技术负责人
D.专业监理工程师
52、根据《特种作业人员安全技术培训考核管理规定》,特种作业人员离开特种岗位达()个月以上,应当重新进行实际操作考核,合格后方可上岗作业。
A.2
B.3
C.6
D.5
53、落实施工生产安全事故报告和调查处理“四不放过”原则的核心环节是()
A.事故报告
B.事故处理
C.事故调查
D.事故问责
54、下列施工现场防治水污染的做法中,正确的是()。
A.乙炔发生罐产生的污水,用专用容器集中存放,然后倒入沉淀池处理
B.将有毒有害废弃物作土方回填,避免污染水源
C.化学药品采用封闭容器,集中露天存放
D.100人以上的临时食堂,污水经排水沟直接排入城市污水管
55、“五牌一图”指的是工程概况牌、管理人员名单及监督电话牌、消防保卫牌及()。
A.危险源标示牌、文明施工牌、建筑效果图
B.安全生产牌、施工人员现场出入牌、建筑效果图
C.施工人员现场出入牌、危险源标示牌、施工现场平面图
D.安全生产牌、文明施工牌、施工现场平面图
56、发包方将全部施工任务委托一个施工单位或由多个施工单位组成的施工联合体完成该项目的施工任务委托模式是()。
A.施工平行发承包
B.施工总承包管理
C.工程总承包
D.施工总承包
57、建设工程设备采购合同通常采用的计价方式是()。
A.可调总价合同
B.固定单价合同
C.固定总价合同
D.成本加酬金合同
58、根据《建设工程施工劳务分包合同(示范文本)》运至施工场地用于劳务施工的待安装设备,由()负责办理或获得保险。
A.工程承包人
B.发包人
C.劳务分包人
D.设备生产厂
59、根据《标准施工招标文件》,承包人自检确认的工程隐蔽部位具备覆盖条件后,监理人未按与承包人约定的时间进行检查且没有其他指示,承包人正确的做法是()。
A.自行完成覆盖工作,并拒绝监理人重新检查的要求
B.自行完成覆盖工作,并将相应记录报送监理人签字确认
C.自行完成覆盖工作,并向监理人进行索赔
D.报告政府质量监督机构后自行完成覆盖工作
60、在建筑工程施工过程中,隐蔽工程在隐蔽前应通知()进行验收,并形成验收文件。
A.监理单位
B.施工单位质检部门
C.设计单位
D.政府质量监督站
61、根据《标准施工招标文件》,竣工付款申请单的提交时间为()。
A.工程接收证书颁发后
B.承包人提交竣工验收报告时
C.发包人组织竣工验收时
D.工程保修期满后
62、采用单价合同形式的工程,其工程价款是根据()计算确定的。
A.发包人提供的工程量清单量及承包人所填报的单价
B.实际完成并经工程师计量的工程量及合同单价
C.发包人提供的工程量清单量及承包人实际发生的单价
D.实际完成并经工程师计量的工程量及承包人实际发生的单价
63、不能激励承包人努力降低成本和缩短工期的合同形式是()。
A.成本加奖金合同
B.成本加固定费用合同
C.最大成本加费用合同
D.成本加固定比例费用合同
64、根据《标准施工招标文件》,不属于工程变更范围的是()。
A.为完成工程需要追加的额外工作
B.取消合同中任何一项工作,并将该工作转由其他人实施
C.改变合同工程的基线、标高、位置或尺寸
D.改变合同中任何一项工作的质量或其他特性
65、关于索赔成立条件的说法,错误的是()。
A.承包人按合同规定的程序和时间递交索赔意向通知和索赔报告
B.与合同对照,事件已造成了承包人工程成本额外支出或直接工期损失
C.造成费用增加或工期损失的原因,按合同约定不属于承包人的行为责任或风险责任
D.造成费用增加或工期损失额度巨大,超出了承包人正常的承受范围
66、根据《标准施工招标文件》,关于承包人提出索赔期限的说法,正确的是()
A.按照合同约定接受竣工付款证书后,仍有权提出工程接收证书颁发前发生的索赔
B.按照合同约定接受竣工验收证书后,无权提出工程接收证书颁发后发生的索赔
C.按照合同约定提交的最终结清申请书中,只限于提出工程接收证书颁发前发生的索赔
D.按照合同约定提交的最终结清申请书中,只限于提出工程接收证书颁发后发生的索赔
67、据《标准施工招标文件》,建设工程施工合同履约担保的有效期是()。
A.从收到招标通知书到工程保修期结束
B.从合同生效之日至发包人签发工程接收证书之日
C.从签订施工合同之日到工程竣工交付之日
D.从收到工程预付款之日到工程保修期结束
68、下列工程保险的险种中,以工程发包人和承包人双方名义共同投保的是()
A.建筑工程一切险
B.工伤保险
C.人身意外伤害险
D.执业责任险
69、下列项目管理相关资料中,能够反映项目竣工验收信息的是()。
A.项目成本偏差分析表
B.单位工程交工质量核定表
C.施工安全设施验收记录表
D.年度完成工作分析表
70、根据《建设工程文件归档规范》,关于施工文件立卷的说法,正确的是()。
A.声像资料应与纸质文件在案卷设置上一致
B.专业分包的分部工程,应并入相应单位工程立卷
C.文字材料按事项、专业顺序排列
D.卷内既有文字材料又有图纸资料时,图纸排列在前
二、多项选择题 每小题2分,共25题参考答案见试卷末尾
1、关于项目管理任务分工表的说法,正确的有()。
A.每个建设项目都应编制项目管理任务分工表
B.编制项目管理任务分工表前需对项目实施各阶段的任务进行分解
C.项目管理任务分工表中需明确每项任务的负责部门和配合部门
D.项目管理任务分工表是项目组织设计文件的一部分
E.项目管理任务分工表确定后在项目进展过程中不得进行调整
2、单位工程施工组织设计中,反映组织施工水平的技术经济指标有()。
A.项目施工工期
B.机械设备利用程度
C.项目施工成本降低率
D.劳动生产率
E.建筑面积
3、根据《建设工程施工合同《示范文本)》,关于项目经理的说法,正确的有().
A.发包人有权要求更换不称职的项目经理,承包人应在接到更换通知后14天内向发包人提出书面的改进报告
B.项目经理因特殊情况需授权其下属人员履行某项工作职责的,应提前3天将被授权人员的相关信息书面通知监理人
C.发包人收到承包人的书面改进报告后仍要求更换项目经理的,承包人应在接到第二次更换通知的28天内进行更换
D.承包人需更换项目经理的,应提前7天书面通知发包人和监理人,并征得发包人书面同意
E.紧急情况下为确保施工安全,项目经理采取必要措施后,应在48小时内向发包人代表和监理工程师提交书面报告
4、建设工程监理的工作性质包括()。
A.服务性
B.科学性
C.创造性
D.独立性
E.公平性
5、按生产要素内容分类,建设工程定额可以分为()
A.建筑工程定额
B.人工定额
C.设备安装工程定额
D.材料消耗定额
E.施工机械台班使用定额
6、根据《建设工程施工合同(示范文本)》施工承包人实施按计日工计价的某项工作时,应报送监理人审查的资料有()。
A.工作名称、内容和数量
B.投入该工作的所有人员的姓名、专业、工种、级别和耗用工时
C.实施该工作的全部流程
D.投入该工作的材料类别和数量
E.投入该工作的施工设备型号、台数和耗用台时
7、编制施工成本计划应遵循的原则有()。
A.应与生产进度计划相结合
B.应具有绝对的刚性
C.应以先进的技术经济指标为依据编制
D.编制工作应统一领导、分级管理
E.成本降低率既要积极可靠又要切实可行
8、项目的实施阶段,项目总进度包括施工进度和()
A.设计工作进度
B.项目试运转工作进度
C.招标工作进度
D.物资采购工作进度
E.项目动用前的准备工作进度
9、由不同功能的计划所构成的建设工程进度计划系统一般包括()。
A.设计进度计划
B.操作性进度计划
C.总进度规划
D.指导性进度规划
E.单项工程进度计划
10、关于工程网络计划中工作最迟完成时间计算的说法,正确的有()。
A.等于其所有紧后工作最迟开始时间的最小值
B.等于其所有紧后工作最迟完成时间的最小值
C.等于其完成节点的最迟时间
D.等于其最早完成时间与总时差的和
E.等于其所有紧后工作间隔时间的最小值
11、下列建设工程项目施工进度控制的措施中,属于组织措施的有()。
A.进度控制工作流程的制订
B.进度控制会议的组织设计
C.项目施工资源需求计划的编制
D.专门控制部门和人员的设置
E.进度控制任务分工表和管理职能分工表的编制
12、根据《建筑工程五方责任主体项目负责人质量终身责任追究暂行办法》,应当依法追究质量终身责任的个人有()。
A.建设单位项目负责人
B.监理单位总监理工程师
C.检测单位项目负责人
D.施工单位项目经理
E.设计单位项目负责人
13、施工质量保证体系运行包括的环节有()
A.计划
B.实施
C.检查
D.评价
E.处理
14、下列新建小学办公楼的组成中,属于分部工程的有()
A.办公楼的土建工程
B.办公楼的基础工程
C.办公楼的室外绿化工程
D.办公楼的屋面工程
E.办公楼的装饰装修工程
15、施工质量事故处理的基本要求有()。
A.确保事故处理期间的安全
B.正确选择处理的人数和处罚方式
C.优先采用节约成本的技术措施
D.加强事故处理的检查验收工作
E.重视消除造成事故的原因
16、工程开工前,质量监督机构第一次监督检查的主要内容有()
A.检查建设各方的质量保证体系建立情况
B.抽查主要建筑材料的采购计划
C.审查施工单位的工程经营资质证书
D.检查质量控制资料的完成情况
E.审查总监理工程师的执业资格证书
17、根据《建设工程安全生产管理条例》和《职业健康安全管理体系要求及使用指南》,关于建设工程施工职业健康安全管理的基本要求的说法,正确的有()。
A.施工企业必须对本企业的安全生产负全面责任
B.工程设计阶段,设计单位应编制职业健康安全施工生产技术措施计划
C.施工项目负责人和专职安全生产管理人员应持证上岗
D.施工企业应按规定为从事危险作业的人员在现场工作期间办理意外伤害保险
E.实行总承包的工程,分包单位应接受总承包单位的安全生产管理
18、企业安全技术措施计划的范围应包括()
A.改善劳动条件
B.防止事故发生
C.安全教育形式
D.预防职业病和职业中毒
E.安全管理制度
19、下列违法行为中,对施工生产安全事故发生单位主要负责人处上一年年收入40%~80%罚款的情形有()。
A.故意破坏事故现场
B.不立即组织事故抢救
C.事故调查期间擅离职守
D.谎报或瞒报事故
E.迟报或漏报事故
20、施工现场环境保护的要求包括()。
A.施工前应进行现场环境调查
B.施工组织设计中应有防治扬尘和噪音等有效措施
C.施工现场应建立环境保护管理体系
D.健全施工组织机构,明确岗位权责分工
E.定期对职工进行环保法规知识的培训和考核
21、阅读招标文件“投标人须知”时,投标人应重点关注的信息有()。
A.合同条款
B.施工技术说明
C.招标工程的详细范围和内容
D.投标文件的组成
E.重要的时间安排
22、根据《建设工程施工专业分包合同(示范文本)》,属于承包人工作的有()。
A.编制分包工程详细的施工组织设计
B.提供分包工程施工所需的施工场地
C.向分包人进行设计图纸交底
D.与项目监理人进行直接工作联系
E.编制分包工程年、季、月工程进度计划
23、根据《标准施工招标文件》,承包人应在接到开工通知后28天内,向监理人提交施工场地的管理机构以及人员安排的报告,其内容应包括()。
A.质量监督机构人员组成及其分工
B.发包人现场代表的组成
C.各工种技术工人的安排状况
D.主要岗位技术管理人员的资格
E.主要岗位技术和管理人员名单
24、采用固定总价合同的工程,承包人承担的价格风险有()。
A.工程变更
B.报价计算错误
C.漏报项目
D.工程范围不确定
E.人工费上涨
25、根据《标准施工招标文件》,关于施工合同变更管理的说法,正确的有()。
A.承包人应在收到变更指示后的14天内向监理人提交变更报价书
B.在合同履行过程中,监理人可随时向承包人发出变更指令
C.采用计日工计的任何的一项更工作,按合同约定列入措施项目清单结算款中
D.在合同履行过程中,承包人对发包人提供的图纸可提出合理化的书面变更建议
E.承包人在接到监理人作出的变更指示后,应按变更指示实施变更工作
参考答案:
【一、单项选择题】
1~5 CDBBB 6~10 ADCAC
11~70点击安装“二建APP”查看答案
【二、多项选择题】
1 ABCD 2 AB 3 AC 4 ABDE 5 BDE
6~25点击安装“二建APP”查看答案
如果这样刷题不过瘾,请立即安装APP刷题,历年真题、高质量模拟题应有尽有。