一级建造师考试是只有工程类或工程经济类专业且获得大学专科及以上学历并且工作年限以及施工工作年限满足一定年份(具体年限根据学历而定)才可报考。一级建造师考试的内容包括《建设工程经济》、《建设工程法规及相关知识》、《建设工程项目管理》及《专业工程管理与实务》,上学吧一级建造师题库包含了近10年的历年真题及答案解析、另外还包含很多高质量的模拟题,是大家通过考试的好帮手。现在点击安装APP刷题,以下为试卷的详细内容:
一、单项选择题(每小题1分,共70分)参考答案见试卷末尾
1、一般情况下,各类企业都应该在质量体系程序文件中制定()。
A.不合格品控制程序
B.服务过程控制程序
C.生产过程控制程序
D.监督过程控制程序
2、建立职业健康安全与环境管理体系的步骤不包括( )。
A.人员培训
B.领导决策
C.体系文件的编写
D.管理评审
3、第5题:施工总承包模式与施工,总承包管理模式的相同之处在于( )。
A.项目建设周期
B.总包单位对分包单位的管理责任
C.业主对分包单位的付款方式
D.业主对分包单位的选择和认可权限
4、( )以工程量为基础,( )必须以质量合格为前提。
A.计量,支付
B.支付,计量
C.支付,费率
D.费率,支付
5、下列不属于安全事故处理的原则的是( )。
A.事故原因不清楚不放过
B.事故责任者和员工未受到教育不放过
C.受害者没有得到治疗不放过
D.事故责任者没有处理不放过
6、工程预付款的预付时间应不迟于( )。
A.开工日期前7天
B.开工后1个月
C.开工后7天
D.开工后约定的时间
7、某工程网络计划中工作M的总时差和自由时差分别为5天和3天,该计划执行过程中经检查发现只有工作M的实际进度拖后4天,则工作M的实际进度( )。
A.既不影响总工期,也不影响其后续工作的正常进行
B.将其紧后工作的最早开始时间推迟1天,并使总工期延长1天
C.不影响其后续工作的正常进行,但使总工期延长1天
D.不影响总工期,但将其紧后工作的最早开始时间推迟1天
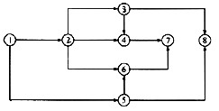
8、某分部工程的双代号网络图如下图所示,错误之处是( )。.jpg)
A.节点编号不对
B.有多余虚工作
C.有多个终点节点
D.有多个起点节点
9、有关双代号网络图表达正确的是( )。
A.同一节点间有两个以上的工作
B.有一个结束节点
C.有闭合回路
D.有两个开始节点
10、环保行政主管部门应在收到申请环保设施竣工验收之日起( )日内完成验收。
A.15
B.30
C.45
D.60
11、某工程实施过程中,由于设计变更引起工程量清单增项,而合同对此没有约定,则作为结算依据的相应综合单价应由______。
A.承包人提出,总监理工程师确认
B.建筑师提出,发包人确认
C.发包人提出,总监理工程师确认
D.承包人提出,发包人确认
12、下列不属于项目人力资源管理计划的是( )。
A.人力资源需求计划
B.人力资源配置计划
C.人力资源培训计划
D.人力资源考查计划
13、在网络计划中,某工作的最早开始时间和最早完成时间分别为第4天和第10天,则说明该工作实际上最早可从开工后( )。
A.第4天上班时刻开始,第10天下班时刻完成
B.第4天上班时刻开始,第9天下班时刻完成
C.第5天上班时刻开始,第10天下班时刻完成
D.第5天上班时刻开始,第11天下班时刻完成
14、安全控制目标的主要内容不包括( )。
A.“预防为主”是实现安全第一的最重要手段
B.安全管理的目标
C.改善生产环境和保护自然环境的目标
D.减少或消除设备、材料的不安全状态的目标
15、
第 11 题 建设工程项目质量控制系统,一般情况下形成多层次、多单元的结构形态,这是由其( )所决定的。
A.实施任务的委托方式和合同结构
B.实施任务的委托方式和合同内容
C.合同特点和合同方式
D.实施任务的监管方式和合同方式
16、建设工程( )负责主持编制建设工程项目总质量计划,并根据质量控制系统的要求,部署各质量责任主体编制与其承担任务范围相符的质量计划,并按规定程序完成质量计划的审批,作为其实施自身工程质量控制的依据。
A.总监理工程师
B.监理工程师
C.建造师
D.项目管理总组织者
17、建设工程项目施工成本偏差是指( )之差。
A. 已完工程实际施工成本与拟完工程计划施工成本
B. 已完工程计划施工成本与拟完工程计划施工成本
C. 已完工程实际施工成本与已完工程计划施工成本
D. 已完工程计划施工成本与拟完工程实际施工成本
18、建设工程项目质量管理的PII)ICA循环中,质量检查阶段的主要任务是( )。
A.明确质量目标并制定实现目标的行动方案
B.展开工程项目的施工作业技术活动
C.对计划实施过程进行各种检查
D.对质量问题进行原因分析,采取措施予以纠正
19、若某个事件经过风险评估,处于事件风险量的区域图中的风险区A,则应( )。.jpg)
A.采取措施,降低其发生概率,使它移位至风险区C
B.采取措施,降低其损失量,使它移位至风险区B
C.采取措施,降低其发生概率,使它移位至风险区B
D.采取措施,降低其损失量,使它移位至风险区D
20、因货币贬值、汇率变化,物价和工资上涨、政策法令变化引起的索赔属于( )。
A.不可预见的外部障碍或条件索赔
B.工程变更索赔
C.工程终止索赔
D.其他索赔
21、自招标文件或者资格预审文件出售之日起至停止出售之日止,最短不得少于( )个工作日。
A.3
B.4
C.5
D.6
22、施工图设计文件审查是由( )对施工图进行的结构安全和强制性标准、规范执行情况等的独立审查。
A.设计主管部门
B.工程质量监督机构
C.依法认定的设计审查机构
D.监理单位
23、按照我国现行规定,建设单位应在工程竣工验收前( )个工作日前将验收时间、地点等信息通知工程质量监督机构。
A.7
B.14
C.28
D.56
24、根据《建设工程委托监理合同(示范文本)》(GF一2000一o201)的规定,监理人发现工程设计不符合国家规定的质量标准时,正确的做法是( )。
A.书面报告委托人并要求设计人改正
B.指令施工单位拟征求设计人的修改意见
C.及时向设计人报告问题的具体情况
D.口头联系设计人并书面报告委托人
25、在施工期间,如果设计单位发现设计图纸存在问题,需要进行设计变更,则应首先将设计变更要求提交给( )。
A.监理单位
B.施工单位
C.施工图审查机构
D.建设单位
26、下列材料中,( )能起到防火、防水、隔声等作用的材料。
A.功能材料
B.辅助材料
C.装饰材料
D.隐蔽性结构材料
27、某工程实行施工总承包模式,承包人将基础工程中的打桩工程分包给某专业分包单位施工,施工过程中发现地质情况与勘察报告不符而导致打桩施工工期拖延。在此情况下, ( )可以提出索赔。
A.分包人向发包人
B.发包人向监理人
C.承包人向发包人
D.承包人向勘察单位
28、
第52题:某大学新校区建设施工,拟按项目组成编制施工成本计划,则首先要把项目总施工成本分解到各个( )。
A.单体工程
B.单项工程
C.分部工程
D.分项工程
29、支付担保的额度为工程合同总额的( ),如承包人已完成担保额度,发包人未能按时支付,承包人可依据担保合同暂停施工。
A.10%~15%
B.15%~20%
C.20%~25%
D.25%~30%
30、施工平面图是( )及施工进度计划在空间上的全面安排。
A.施工方案
B.施工部署
C.工程结构
D.施工管理计划
31、自招标文件或者资格预审文件出售之日至停止出售之日,最短不得少于( )个工作日。
A.5
B.7
C.10
D.14
32、噪声的传播途径控制手段中,通过降低机械振动减小噪声属于( )。
A.吸声
B.隔声
C.消声
D.减振降噪
33、根据《建设工程施工劳务分包合同(示范文本)》(GF-2003-0214),应自劳务分包人完成的工作是( )。
A.收集技术资料
B.搭建生括设施
C.编制施工计划
D.加强安全教育 答案:D 【解析】P295
34、用事故发生的频率和事故后果的严重程度来判断安全风险的等级时,若事故发生的频率极小,事故后果的严重程度为重大损失(严重伤害),则安全风险所属的等级为( )。
A.Ⅰ——可忽略风险
B.Ⅱ——可容许风险
C.Ⅲ—一中度风险
D.Ⅳ——重大风险
35、招标人和中标人在签订合同的谈判中,为了防范货币贬值或者通货膨胀的风险一般通过( )约定风险承担方式。
A. 调整投标价格
B. 价格调整条款
C. 调整中标价格
D. 调整工作范围
36、AIA合同条件主要用于()。
A.公共的房屋建筑工程
B.私营的房屋建筑工程
C.公共的土木工程
D.私营的土木工程
37、当工程按合同要求全部完成后,具备竣工验收条件,承包人按国家工程竣工验收的有关规定,向发包人提供完整的( )。
A.验收报告
B.竣工资料
C.竣工验收报告
D.竣工资料和竣工验收报告
38、施工项目成本决策与计划的依据是( )。
A.施工成本预测
B.施工成本控制
C.施工成本核算
D.施工成本分析
39、在资料的使用上,不是合同管理人员的责任是( )。
A.向项目经理、发包人做工程实施情况报告
B.向各职能人员和各工程小组、分包商提供资料
C.为工程的各种验收、索赔和反索赔提供资料和证据
D.为项目归档提供服务
40、质量控制信息系统指的是进行质量信息的收集、整理、加工和( )的管理。
A.文档信息
B.施工信息
C.项目信息
D.文档资料
41、
第 58 题 根据我国《招标投标法》的规定,招标人和中标人订立书面合同的时限是( )之日起30d内。
A.中标通知书发出
B.开标
C.合同谈判开始
D.评标
42、施工项目的安全检查应定期进行,组织者是( )。
A.项目经理
B.项目技术负责人
C.专职安全员
D.企业安全生产部门
43、
第 31 题 在建设工程项目的风险类型中,承包商和一般技工的能力方面的风险属于( )风险类型。
A.经济和管理
B.组织
C.工程环境
D.技术
44、DRB委员是由( )选定的。
A.发包人
B.承包人
C.发包人和承包人共同
D.法院指定
45、施工安全控制的程序中,确定项目的安全技术措施计划以后所要进行的步骤是( )。
A.持续改进
B.安全技术措施计划的验证
C.安全技术措施计划的落实和实施
D.确定项目的安全目标
46、某工程双代号时标网络计划如下图所示(时间单位:周),在不影响总工期的前提下,工作B可利用的机动时间为( )周。
A. 1
B. 2
C. 3
D. 4
47、关于施工成本及其管理的说法,正确的是( )。
A.施工成本是指施工过程中消耗的构成工程实体的各项费用支出
B.施工成本预测是以货币形式编制施工项目在计划期内的生产费用、成本水平、 成本降低率及降低成本措施的书面方案
C.施工成本考核是在施工成本核算的基础上,对成本形成过程和影响成本升降的 因素进行分析,以寻求进一步降低成本的途径
D.施工成本管理就是在保证工期和满足质量要求的情况下,采取相应措施把成本 控制在计划范围内,并最大限度地节约成本
48、施工阶段质量事中控制的途径之一是( )。
A.工程测量基准点的建立
B.工程质量监督机构
C.投料与检测计量
D.已完工程成品保护
49、下列不属于安全事故处理的原则的是()不放过。
A.事故原因不清楚
B.事故责任者和员工未受到教育
C.受害者没有得到治疗
D.事故责任者没有处理
50、第 60 题 ( )是指导项目管理工作的纲领性文件。
A.建设工程项目决策规划
B.建设工程项目可行性研究报告
C.建设工程项目管理规划
D.建设工程项目选址意见书
51、总时差指的是在不影响( )的前提下,本工作可利用的机动时间。
A.紧后工作
B.持续时间
C.紧前工作
D.总工期
52、论证建设工程项目总进度目标时,需要进行:①编制各层进度计划;②项目的工作编码;③进度计划系统的结构分析等项工作。对上述工作而言,正确的工作步骤是( )。
A.①→②→③
B.②→①→③
C.②→③→①
D.③→②→①
53、某工程在第10周末显示的成本数据为:BCWS=33万元,BCWP=23万元,ACWP=22万元,按照赢得值原理,结论是______。
A.进度拖后,低于预算
B.进度拖后,高于预算
C.进度提前,高于预算
D.进度提前,低于预算
54、按工程进度编制施工成本计划,在考虑( )对项目划分的要求的同时,还要考虑确定施工成本支出计划对项目划分的要求。
A.进度控制与成本控制
B.进度计划与成本计划
C.进度控制与成本计划
D.进度计划与成本控制
55、建筑产品生产过程的连续性和分工性决定了职业健康安全与环境管理的( )。
A.复杂性
B.持续性
C.协调性
D.多变性
56、
第 23 题 根据《建设工程施工合同》的规定,关于工程款(进度款)的叙述,错误的是( )。
A.在确认计量结果14天内,发包人应向承包人支付工程款(进度款)
B.按钩定时间发包人应扣回的预付款,与工程款(进度款)同期结算
C.发包人超过约定的支付时间不支付工程款,承包人可向发包人发出要求付款的通知,发包人收到承包人通知后仍不能按要求付款,可与承包人协商签订延期付款协议,经承包人同意后可延期支付
D.发包人不按合同约定支付工程款,双方又未达成延期付款协议,导致施工无法进行的,应由承包人承担违约责任
57、建设工程招标是指招标人率先提出工程的条件和要求,发布招标广告吸引或直接邀请众多( )参加投标并按照规定从中选择中标人的行为。
A.分包人
B.供应商
C.投标人
D.承包人
58、在工程网络计划中,工作的最早开始时间应为其所有紧前工作( )。
A.最迟完成时间的最小值
B.最早完成时间的最大值
C.最早开始时间的最大值
D.最迟开始时间的最小值
59、在建筑材料采购合同中,委托运输部门运输、送货或代运的产品,其交货期限一般以()的日期为准。
A.货物送达交货地点
B.供方向承运单位提出申请
C.承运单位签发
D.需方收货戳记
60、建设工程项目质量控制系统是面向( )而建立的。
A.工程项目对象
B.工程实施参与各方
C.建筑业企业
D.施工单位项目经理部
61、从理论上讲,在市场经济条件下,建设工程项目是否采用招标、投标的方式确定承包人,( )有完全的决定权。
A.承包商
B.业主
C.监理单位
D.设计单位
62、对大中型工程项目,按项目组成编制施工成本计划时,其总成本分解的顺序是( )。
A. 单项工程成本→单位(子单位)工程成本→分部(子分部)工程成本→分项工程成本
B. 单位(子单位)工程成本→单项工程成本→分部(子)分部→工程成本→分项工程成本
C. 分项工程成本→分部(子分部)工程成本→单位(子单位)工程成本→单项工程成本
D. 分部(子分部)工程成本→分项工程成本→单项工程成本→单位(子单位)工程成本
63、建设工程项目质量控制系统的管理文件或手册,是承担该项目实施任务各方应共同遵循的管理依据,它在( )过程中形成。
A.分析系统质量控制界面
B.编制系统质量控制计划
C.制定系统质量控制制度
D.明确系统质量控制网络
64、总价合同是合同计价的重要方式之一,下列各项不是总价合同特点的是( )。
A.业主的风险较小,承包人将承担较多的风险
B.评标时易于迅速确定最低报价的投标人
C.必须完整而明确地规定承包人的工作
D.发包单位对项目进行控制变得更加困难
65、2002年3月完成的某工程,按2001年3月签约时的价格计算工程款为100万元,合同规定:调值公式中的固定系数为0.2,人工费占调值部分的50%。调值公式中的各项费用除人工费上涨15%外均未发生变化,则2002年3月的工程款经过调值后为( )万元。
A.106
B.107.5
C.112
D.115
66、对于采用单价合同的招标工程,如投标书中有明显的数字计算错误,业主有权先做修改再评标,当总价和单价的计算结果不一致时,正确的做法是( )。
A.以总价为准调整单价
B.按市场价调整单价
C.以单价为准调整总价
D.分别调整单价和总价
67、在施工资源管理的所有资源中,()是最重要的资源。
A.财力资源
B.物资资源
C.人力资源
D.环境资源
68、建设工程项目的实施包括四个阶段,其中设计前准备阶段的主要工作是( )。
A.编制项目建议书
B.编制项目总进度计划
C.编制项目总成本计划
D.编制设计任务书
69、环境管理体系的模式建立在一个由( )诸环节构成的动态循环过程的基础上。
A.策划、实施、检查、评审和改进
B.发起、实施、检查、评审和改进
C.策划、发起、检查、评审和改进
D.策划、实施、评审、检查和改进
70、招标人对已发出的招标文件进行必要的澄清或者修改,应当在招标文件要求提交投标文件截止时间至少( )日前发出。
A.5
B.7
C.10
D.15
二、多项选择题(每小题2分,共60分)参考答案见试卷末尾
1、为了满足建设工程项目施工成本管理的要求,项目成本项编码时应考虑的因素包括( )
A.投资估算
B.概预算
C.合同价
D.工程款支付
E.计价程序
2、施工成本计划主要依据()等内容进行编制。
A.施工预算
B.施工图预算
C.签订的工程合同
D.资源市场价格
E.分包合同
3、关于矩阵组织结构的说法,正确的有( )。
A.矩阵组织结构是一种传统的组织结构模式
B.在最高指挥者(部门)下设纵向和横向两种不同类型的工作部门
C.宜用于大的组织系统
D.有多个矛盾的指令源
E.指令来自于纵向和横向两个工作部门,因此其指令源为两个
4、质量记录应( )。
A.包括质量管理的组织机构和质量职责
B.具有可追溯性
C.有实施、验证和审核等签署意见
D.记载关键活动的过程参数
E.完整反映质量活动实施、验证和评审情况
5、在下图所示的网络计划中,有关各项工作的总时差和自由时差的表述正确的是( )。.jpg)
A.工作A的自由时差为0,总时差为2
B.工作B的总时差和自由时差均为1
C.工作C的总时差和自由时差均为2
D.工作D的自由时差为1,总时差为3
E.工作D的自由时差和总时差均为0
6、在建设工程项目管理中,管理目标中包含项目总投资目标的单位有( )。
A. 建设工程项目总承包单位
B. 业主委托的工程咨询单位
C. 业主委托的工程监理单位
D. 设计单位
E. 施工单位
7、
第91题:主要的工程施土安全技术措施一般可以分为 ( )。
A.一般工程安全技术措施
B.特殊工程安全技术措施
C.应急措施
D.季节性安全技术措施
E.地域性安全技术措施
8、组织的构成因素包括( )。
A.管理层次
B.管理跨度
C.管理职能
D.管理分工
E.管理部门
9、由不同深度的计划构成的进度计划系统包括( )。
A.总进度计划
B.项目子系统进度计划
C.单项工程进度计划
D.单位工程进度计划
E.工序作业进度计划
10、施工过程中根据质量检查状况,对查实的问题可以分别签发( )等处理意见。
A.质量问题整改通知书
B.整体停工指令单
C.质量问题罚款通知单
D.局部暂停指令单
E.临时收缴资质证书通知书
11、施工成本控制的依据有( )。
A.工程承包合同
B.进度报告
C.施工组织设计
D.监理合同
E.工程变更
12、在项目实施过程中,项目目标的动态控制包括( )。
A.将项目的目标进行分解,以确定用于目标控制的计划值
B.收集项目目标的实际值,如实际投资,实际进度等
C.定期进行项目目标的计划值和实际值的比较
D.通过项目目标的计划值和实际值的比较,如有偏差,则采取纠偏措施进行纠偏
E.如有必要,则进行项目目标的调整
13、根据《建设工程监理规范》(GB/T50319),编制工程建设监理规划应遵循的程序和依据是( )。
A.在收到设计文件后开始编制
B.在签订委托监理合同前编制完成
C.完成后必须经监理单位技术负责人审核批准
D.应由总监理工程师主持编制
E.依据项目审批文件编制
14、单体工程如有必要(如投资、进度和质量控制的需要)也应进行项目结构分解,如一栋高层办公大楼可分解为( )。
A.地下工程
B.地上工程
C.裙房结构工程
D.强电工程
E.高层主体结构工程
15、合同文件是索赔的最主要依据,其中包括( )。
A.合同协议书
B.投标书及其附件
C.合同通用条款
D.电话记录
E.检验报告
16、在编制施工组织设计时,宜考虑的原则有( )
A.提高施工的科学化程度
B.积极采用国内外先进的施工技术
C.重视管理创新和技术创新
D.合理部署施工现场,实现文明施工
E.重视工程施工的投资控制
17、安全事故处理的原则包括( )。
A.事故原因不清楚不放过
B.事故责任者和员工没有受到惩罚不放过
C.事故责任者没有处理不放过
D.事故损失多少不清楚不放过
E.没有制定防范措施不放过
18、索赔费用的计算方法有( )。
A.实际费用法
B.总费用法
C.修正的总费用法
D.比率法
E.网络分析法
19、
第 100 题 建设工程项目质量控制系统是面向对象而建立的质量控制工作体系,它和建筑企业或其他组织机构按照GB/Tl9000标准建立的质量管理体系的不同点有( )。
A.建立的目的不同
B.服务的范围不同
C.控制的目标不同
D.作用的时效不同
E.依据不同
20、施工成本分析常用的方法包括( )。
A. 比较法
B. 比率法
C. 差额计算法
D. 连环置换法
E. 实际费用法
21、排列图法的特点主要是( )。
A.全程跟踪
B.直观
C.美观
D.主次分明
E.动态控制
22、运用排列图法进行质量管理时,做法正确的是( )。
A.进行质量抽样检查
B.得到质量特性不合格点统计数据
C.按照质量特性不合格点数从大到小的顺序,整理并做排列表
D.画出因果分析图
E.分别计算不合格质量特性的累计频数和累计频率
23、信息编码是信息处理的一项重要基础工作,施工单位在进行建设工程项目成本项统一编码时,应综合考虑的因素包括( )。
A.工程款支付
B.标底价
C.施工成本分析
D.投标价
E.合同价
24、根据《建设工程项目管理规范》,项目经理的权限包括( )。
A.签订承包合同
B.自主选择分包单位
C.参与选择物资供应单位
D.主持项目经理部工作
E.制定内部计酬办法
25、关于FIDIC《土木工程施工合同条件》的说法,正确的有()。
A.该合同主要发包人设计的或咨询工程师设计的房屋建筑工程和土木工程的施工项目
B.一般情况下,单价可随各类物价的波动而调整
C.合同计价方式属于单价合同,不包含任何包干价格
D.由业主委派工程师管理合同
E.由业主监督工程进度、质量,签发支付证书、接受证书和履约证书,处理合同中的有关事项
26、关于总承包模式的说法,错误的有( )。
A.一般以部分完成的施工图为投标报价的基础
B.建设周期会比较长
C.业主需进行多次招标
D.招标次数和合同管理工作量较大
E.组织协调工作较平行发包少
27、对于一个施工项目而言,其成本计划是一个不断深化的过程。在这一过程的不同阶段形成深度和作用不同的成本计划,按其作用可分为( )
A.竞争性成本计划
B.实施性计划成本
C.分部分项工程施工成本计划
D.单位工程施工成本计划
E.指导性成本计划
28、根据《企业伤亡事故分类标准》(GB 6441—1986),下列事故中,属于与建筑业有关的职业伤害事故有()。
A.物体打击
B.触电
C.机械伤害
D.辐射伤害
E.火药爆炸
29、施工组织设计是对施工活动实行科学管理的重要手段,下列属于施工组织设计的基本内容的有( )。
A.工程概况
B.施工平面图
C.施工进度计划
D.施工成本计划
E.施工部署及施工方案
30、《建设工程施工劳务分包合同(GF—2003—0214)》规定,由工程承包人承担费用的是( )。
A.各种证件、批件、规费,涉及劳务分包人自身的手续除外
B.由于劳务分包人自身原因引起的质量修改、返工、工期拖延、安全事故、现场脏乱而造成的损失及各种罚款
C.劳务分包人在动力设备、输电线路、地下管道,密封防振车间、易燃易爆地段及临街交通要道附近施工时,经工程承包人认可后实施的防护措施费用
D.劳务分包人从事危险作业的职工意外伤害保险
E.由于劳务分包人责任造成的施工场地周围建筑物、构筑物的损坏
参考答案:
【一、单项选择题】
1~5 ADBBC 6~10 ADCBB
11~70点击安装“一级建造师APP”查看答案
【二、多项选择题】
1 BCD 2 ACDE 3 BCE 4 BCDE 5 AC
6~30点击安装“一级建造师APP”查看答案
如果这样刷题不过瘾,请立即安装APP刷题,历年真题、高质量模拟题应有尽有。