一级注册建筑师考试是从事建筑设计及相关业务活动的专业技术人员参考的一个难度很大的考试,建筑师需要兼备艺术家的审美眼光和工程师的力学知识,还需要具体不错的沟通能力。考试的内容包括场地设计、建筑方案设计、建筑技术设计,经济、施工与设计管理、设计前期与场地设计、建筑材料与构造等等。上学吧一级注册建筑师考试题库汇集了不少试题,为您学习刷题提供支持,现在就点击安装APP刷题。以下为试卷的详细内容:
一、单项选择题参考答案见试卷末尾
1、图示结构支座计算简图,不属于固定铰支座的是( )。
A.
B.
C.
D.
2、下图所示对称桁架,在两种荷载作用下,内力不同的杆件数量为( )。
A.1根
B.3根
C.5根
D.7根
3、下图所示结构在外力P作用下,零杆数量为( )。
A.0根
B.1根
C.2根
D.3根
4、如图所示桁架中零杆数量为( )。
A.4根
B.5根
C.6根
D.7根
5、如图所示桁架结构中。零杆数量为( )。
A.2根
B.3根
C.4根
D.5根
6、下图所示钢结构支座对以下哪项无约束?( )
A.竖向位移
B.水平位移
C.转动位移
D.扭转位移
7、如图所示桁架在竖向外力P作用下的零杆根数为( )。
A.1根
B.3根
C.5根
D.7根
8、如图所示桁架零杆判定全对的是( )。
A.5、8、9、15
B.5、9、11、13
C.9、11、15、17
D.无零杆
9、如图所示结构,杆1的内力为下列何值?( )
A.拉力P/2
B.压力P/2
C.拉力P
D.压力P
10、如图所示结构中。杆b的内力Nb应为下列何项数值?( )
A.Nb=0
B.Nb=P/2
C.Nb=P
D.Nb=√2P
11、所示如图双跨刚架各构件刚度相同,正确的弯矩图是( )。

12、如图所示桁架杆件的内力规律,以下论述哪一条是错误的?( )
A.上弦杆受压且其轴力随桁架高度h增大而减小
B.下弦杆受拉且其轴力随桁架高度h增大而减小
C.斜腹杆受拉且其轴力随桁架高度h增大而减小
D.竖腹杆受压且其轴力随桁架高度h增大而减小
13、如图所示三铰刚架转角A处弯矩为( )。
A.80kN·m
B.120kN·m
C.160kN·m
D.200kN·m
14、下列固定铰支座的4种画法中,错误的是( )。
15、如图所示结构中零杆有( )。
A.1个
B.2个
C.3个
D.4个
16、如图所示结构中,内力为零的杆有( )。
A.3个
B.4个
C.5个
D.7个
17、如图所示一圆球,重量为P,放在两个光滑的45°斜面上静止不动,产生的RA、RB为( )。
A.RA=RB=1/2P
B.RA=RB=√2P
C.RA=RB=√2/2P
D.RA=RB=√2/4P
18、如图所示结构中零杆数应为下列何值?( )
A.2
B.3
C.4
D.5
19、如图所示结构,已知支座A的竖向反力RA=0,则P为下列何值?( )
A.P=0
B.P=1/2qa
C.P=qa
D.P=2qa
20、如图所示结构中,支座B的反力RB为下列何值?( )
A.RB=0
B.RB=P
C.RB=-P/2
D.RB=-P
21、如图所示结构中零杆数应为下列何值?( )
A.1
B.2
C.3
D.4
22、同一桁架在下图所示两种荷载作用下,哪些杆件内力发生变化?( )
A.仅DE杆
B.AC、BC、DE杆
C.CD、CE、DE杆
D.所有杆件
23、如图所示结构,A支座竖向反力RA为下列何项数值?( )
A.RA=3P
B.RA=2P
C.RA=P
D.RA=0
24、如图所示一圆球,重量为P,放在两个光滑的斜面上静止不动,斜面斜角分别为30°和60°,产生的RA和RB分别为( )。
A.RA=tan30°P,RB=1/tan30°P
B.RA=1/tan30°P,RB=tan30°P
C.RA=sin30°P,RB=cos30°P
D.RA=cos30°P,RB=sin30°P
25、如图所示结构支座B的反力为下列何项?( )
A.P
B.2P
C.3P
D.4P
26、如图所示结构中,杆b的内力Nb应为下列何项数值?( )
A.Nb=0
B.Nb=√2/2P
C.Nb=P
D.Nb=√2P
27、如图所示结构,支座2的竖向反力为下列何值?( )
A.0
B.P/8
C.P/4
D.P/2
28、下图所示的结构支座计算简图,属于哪种结构支座?( )
A.可动铰支座
B.固定铰支座
C.定向可动支座
D.固定支座
29、如图所示结构,杆I的内力为下列何值?( )
A.压力√2P
B.拉力√2P
C.压力√2/2P
D.拉力√2/2P
30、如图所示结构中,支座Ⅱ的反力为下列何值?( )
A.1/6qa
B.1/2qa
C.qa
D.2qa
31、简支三角形桁架如右图所示,下列哪根杆的内力是错误的?( )
A.BD杆拉力10kN
B.BF杆压力14.14kN
C.DF杆压力14.14kN
D.CD杆拉力20kN
32、如图所示空间桁架,杆cd轴力为( )。
A.2kN
B.4kN
C.2√2kN
D.√5kN
33、如图所示结构中杆I的内力为下列何值?( )
A.拉力P
B.拉力√2P
C.压力P
D.压力√2P
34、任意一种支座计算简图中所用的支杆数应符合下列何项?( )
A.应小于这种支座反力的未知个数
B.应等于这种支座反力的未知个数
C.应大于这种支座反力的未知个数
D.与这种支座反力的未知个数无关
35、屋架在外力P作用下时,下列关于各杆件的受力状态的描述,哪一项正确?( ) 如下图 Ⅰ.上弦杆受压、下弦杆受拉;Ⅱ.上弦杆受拉、下弦杆受压;Ⅲ.各杆件均为轴力杆;Ⅳ.斜腹杆均为零杆
A.Ⅰ、Ⅲ
B.Ⅱ、Ⅲ
C.Ⅰ、Ⅳ
D.Ⅱ、Ⅳ
36、下列图所示结构在荷载作用下的弯矩图正确的是( )。
A.
B.
C.
D.
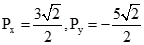
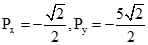
37、如图所示平面力系P1、P2汇交在O点,其合力的水平分力和垂直分力分别为Px、Py,试判断以下Px、Py值哪项正确?( )
A.
B.
C.
D.
38、屋架受力如图所示,对杆件1、2、3产生的内力,拉为(+),压为(-),正确的答案是下列哪一组?( )
A.(-)(+)(+)
B.(-)(-)(+)
C.(+)(-)(-)
D.(+)(-)(+)
39、结构所受荷载如图所示。拉杆AB的拉力是多少?( )
A.ql2/8h
B.ql2/4h
C.ql2/12h
D.ql2/16h
40、如图所示力F在x轴上的投影为Fx,Fx值的大小为( )F。
A.3/4
B.5/4
C.3/5
D.4/5
41、如图所示平面内平衡力系中,P3的正确数值是多少?(与图中方向相同为正值,反之为负值)( )
A.P3=2
B.P3=-2
C.P3=2√2/3
D.P3=-2√2/3
42、如图所示一圆球,重量为P,放在两个光滑的斜面上静止不动,斜面斜角分别为30°和60°,产生的Ra和Rb应分别为( )。
A.
B.
C.
D.
43、如图所示结构有几根零杆和几根压杆?( )
A.零杆5根,压杆3根
B.零杆6根,压杆3根
C.零杆5根,压杆2根
D.零杆6根,压杆2根
44、如图所示桁架杆1、杆2、杆3所受的力分别为( )。
A.
B.
C.
D.
45、如图所示结构在外力P作用下,零杆有( )个。
A.2
B.4
C.6
D.8
46、如图所示结构,支座B的反力RB为下列何值?( )
A.RB=0
B.RB=M/a
C.RB=M/2a
D.RB=M
47、如图所示结构中,杆a的轴力Na为下列何值?( )
A.Na=0
B.Na=P/2
C.Na=P
D.Na=3P/2
参考答案:
【一、单项选择题】
1~5 DCDDD 6~10 BCADA
11~47点击安装“注册建筑师题库APP”查看答案
如果这样刷题不过瘾,请立即安装APP刷题,历年真题、高质量模拟题应有尽有。