高职单招是为了突出高职教育特色,推进高考招生制度改革,选拔综合素质高和具有创新能力、实践能力、特殊才能的优秀高中毕业生进入高职院校学习而推出的重大政策。高等职业教育院校根据自身专业教学需要设置考试科目,自主命题、考试、评卷、面试、录取,上学吧高职单招题库汇编了各高校的历年真题及大量模拟试题,如果您需要刷题练习,现在就点击安装APP刷题。以下为试卷的详细内容:
一、单选题单项选择题(每小题5分,共50分)参考答案见试卷末尾
1、设复数z=1+i(i为虚数单位),则2/z+z2=()
A.l+i
B.l-i
C.-l-i
D.-l+i
2、函数y=1/2x2-lnx的单调递减区间为().
A.(-1,1]
B.(0,1]
C.[1,+∞)
D.(0,+∞)
3、某四棱锥的三视图如图所示,该四棱锥最长棱的棱长为()
A.1
B.
C.
D.2
4、已知a是第四象限角,sin(5π/2+α)=各,那么tanα等于()
A.
B.
C.
D.
5、某人从一鱼池中捕得120条鱼,做了记号之后,再放回池中,经过一定的时间后,再从该鱼池中捕得100条鱼,结果发现有记号的鱼为10条(假定鱼池中鱼的数量既不减少,也不增加),则鱼池中大约有鱼()
A.120条
B.1000条
C.130条
D.1200条
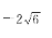
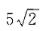
6、在△ABC,A=60°,B=75°,a=10,则c=()
A.
B.
C.
D.
7、计算sin75°cos15°-cos75°sin15°的值等于()
A.0
B.1/2
C.
D.
8、不等式-2x2+x+3<0的解集是()
A.{x|x<-1}
B.{x|x>3/2}
C.{x|-1<x<3/2}
D.{x|x<-1或x>3/2}
9、已知全集U=R,集合A={x|x>2},则CuA=()
A.{x|x≤1}
B.{x|x<1}
C.{x|x<2}
D.{x|x≤2}
10、若x2-ax+b<0的解集为(1,2),则a+b=( )
A.5
B.-5
C.1
D.-1
参考答案:
【一、单选题】
1~5 ABCBD 6~10 CDDD
如果这样刷题不过瘾,请立即安装APP刷题,历年真题、高质量模拟题应有尽有。