一级注册计量师是从事计量检定、校准、检验、测试等计量技术工作人员参与报考的考试,考试每年6月份举行,全国统一大纲、统一命题,一级注册计量师资格考试设《计量法律法规及综合知识》(客观选择题)、《测量数据处理与计量专业实务》(客观选择题)和《计量专业案例分析》(主观案例分析题)三个科目。上学吧一级注册计量师题库在汇集了考试历年真题和高质量模拟试题,希望我们的题库可以为正在备考的您助力。现在点击安装APP刷题。以下为试卷的详细内容:
一、单项选择题参考答案见试卷末尾
1、对检定结论为不合格的计量器具,应出具()。
A.检定证书
B.检定结果通知书
C.校准证书
D.测试报告
2、被测量受到许多相互独立的随机影响量的影响,这些影响量变化的概率分布各不相同,但各个变量的影响均很小时,被测量的随机变化服从()分布。
A.正态
B.均匀
C.反正弦
D.三角
3、对检定、校准、检测结果要实施监控。监控必须()。
A.利用实验室间的比对或能力验证计划
B.采用统计技术对结果进行审查
C.结合所进行的工作类型和工作量采取一种或几种有效的方法
D.由上级主管部门实施
4、对检定、校准、检测工作中执行的技术文件为了()必须进行受控管理。
A.保密
B.使用方便
C.保证是现行有效版本
D.满足考核要求
5、型武评价综合判定要依据单项判定的结论做出:凡有一项以上(含一项)单项不合格的,综合判定为()。
A.不合格
B.该规格不合格
C.除去不合格的规格外,系列中其他产品合格
D.重新试验后再作评价
6、新建计量标准稳定性的考核,当计量检定规程中无明确规定时,可选一稳定被测对象,每隔一个月以上测一组结果,共测m组,m应大于或等于()。
A.3
B.4
C.5
D.6
7、选择作为核查标准的关注点是()。
A.具有良好的稳定性,成本低
B.具有准确的量值,经过定期校准
C.经校准证明其有溯源性的测量仪器
D.经过特殊设计,可以方便搬运的测量设备
8、计量检定机构收到一份要求鉴定真伪的该机构出具的检定证书,首选()。
A.请求司法机构给以鉴定
B.要求在被鉴定证书上签名的人员核对笔迹
C.调查这份要求鉴定的证书是从哪里获得的
D.按检定证书上的惟一性标识查找保留的证书副本和原始记录进行核对
9、通常,校准方法应该统一到()上来,这是量值统一的重要方面。
A.国家计量检定规程
B.国家计量检定系统表
C.国家计量校准规范
D.国家测试标准
10、国家计量院参加国际计量局和亚太区域计量组织组织实施的比对且测量结果在等效线以内,比对结果可以作为各国计量院互相承认校准及测量能力的技术基础,测量能力得到()认可,其校准和测试证书在米制公约成员国得到承认。
A.国际计量局
B.外资企业
C.各国政府
D.各国计量院
11、有限次测量时,其实验标准差计算公式为()。
A.
B.
C.
D.
12、开展校准可否依据实验室自己制定的校准规范?答案是()。
A.可以,只要有校准规范就行
B.可以,但需要经过确认并获得客户对校准规范的认可
C.不可以,只有依据国家校准规范才可以开展校准
D.不可以,该校准规范只能校准本实验室的仪器
13、正态分布时,测量值落在μ±kσ区间内,k=2时的概率是()。
A.0.6827
B.0.95
C.0.9545
D.0.99
14、为表示数字多用表测量电阻的最大允许误差,以下的表示形式中()是正确的。
A.±(0.1%R+0.3μΩ)
B.±(0.1%+0.3μΩ)
C.±0.1%±0.3μΩ
D.(0.1%R+0.3μΩ),k=3
15、发现已发出的证书中存在错误,应按()处理。
A.将证书中的错误之处打电话告诉用户,请用户自行改正
B.收回原证书并在原证书上划改和盖章后重新发出
C.将原证书收回,重新出具一份正确的证书并重新编号,在新出的证书上声明代替原证书和原证书作废
D.按原证书号重新出具一份正确的证书
16、比对方法应遵循科学合理的原则,首选国际建议,国际标准推荐的并已经过适当途径所确认的方法和程序,也可以采用()规定的方法和程序。
A.比对方案
B.国家计量检定规程或国家计量技术规范
C.国家标准/或行业标准
D.比对作业指导书
17、按JJF 1033-2016《计量标准考核规范》的规定,检定或校准结果的重复性试验实在重复性条件下,用计量标准对常规的被检定或被校准对象进行n次独立重复测量,用()来表示重复性。
A.单次测量值的实验标准差
B.算术平均值的实验标准差
C.加权平均值的实验标准差
D.B类估计的标准差
18、某0.2级的测量上限为100A的电流表,在测量点为50A时用绝对误差和相对误差表示的最大允许误差,表述正确的是()。
A.±0.1A,±0.2%
B.±0.2A,±0.2%
C.±0.1A,±0.4%
D.±0.2A,±0.4%
19、当比对传递标准器稳定性容易受环境,运输等影响时,为了比对结果的有效性,应选择()。
A.圆环式
B.组合式
C.星形式
D.花瓣式
20、估计测量值x的实验标准偏差的贝塞尔公式是()。
A.A
B.B
C.C
D.D
二、多项选择题参考答案见试卷末尾
1、校准证书上关于是否给出校准间隔的原则是()。
A.一般校准证书上应给出校准间隔的建议
B.如果是计量标准器具的溯源性校准,应按照计量校准规范的规定给出校准间隔
C.一般校准证书上不给出校准间隔
D.当顾客有要求时,可在校准证书上给出校准间隔
2、能力验证活动包括()。
A.能力验证计划
B.实验室间比对
C.测量审核
D.能力验证
3、常用的期间核查方法是:用被核查的测量设备适时地测量一个核查标准,记录核查数据,必要时画出核查曲线图,目的是()。
A.证明被核查对象的状态满足规定的要求,或与期望的状态有所偏离而需要采取措施
B.使测量设备具有溯源性
C.及时发现测量仪器计量标准出现的变化
D.使测量过程保持受控,确保测量结果的质量
4、型式评价结束后,技术机构向申请单位交付()。
A.所有试验用的样机
B.图纸和需要保密的其他技术资料
C.型式评价报告
D.型式评价大纲
5、用分辨力为0.1g的天平A测量某一物体的质量,得到测量结果为14.5g;如果为测量得更准确一些而改用分辨力为0.01g的天平B进行测量,得到的测量结果为14.50g,则()。
A.二者的测最误差不同
B.二者的测量误差相同
C.二者的测量不确定度不同
D.二者的测量不确定度和同
6、制定计量检定规程时,确定计量器具的检定周期应遵守以下原则()。
A.应根据所检定的计量器具本身的特征确定检定周期
B.应根据所检定的计量器具使用情况确定检定周期
C.应明确被检计量器具的测量可靠性目标
D.要做到经济合理,满足制造企业要求
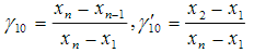
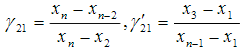
7、狄克逊准则:设所得的重复观测值按由小到大的规律排则为x1,x2,…xn,其中的最大值为xn,最小值为x1。按以下()情况计算统计量
或
。
A.在n=3~7情况下:
B.在n=8~10情况下:
C.在n=11~13情况下:
D.n≥14情况下:
8、下列说法中能正确描述测量仪器的分辨力的是()
A.数字电压表最低位数字显示变化一个字的示值差为1μV,则分辨力为1μV
B.线纹尺的最小分度为1mm,则分辨力为0.5mm
C.衰减常数为0.1dB/cm的截止式衰减器,其刻度的最小分度为10mm,则该衰减器的分辨力为0.05dB
D.用标尺读数装置的谢量仪器的分辨力为:标尺上任意两个相邻标记之间最小分度值的一半
9、计量科学研究课题的阶段划分一般包括()。
A.筹集资金、招聘人员
B.调研选题、申请立项
C.研究实施、撰写报告
D.鉴定验收、推广应用
10、计量科学研究在研究任务完成后,通常要对研究成果进行技术评价,对研究工作进行总结验收。常见的形式主要有()和()两大类。
A.文献检索
B.项目验收
C.科技查新
D.成果鉴定
11、型式批准申请获得受理后,申请单位应向执行型式评价任务的技术机构提交()。
A.完整的技术资料
B.试验样机
C.用户使用证明
D.科技查新
12、计量标准的使用条件是()。
A.经计量检定合格
B.具有正常工作所需要的环境条件
C.具有称职的保存、维护、使用人员
D.具有完善的管理制度
13、实验室的设施和环境条件是保证检定,校准和检测结果准确可靠的重要资源,为此应做到()。
A.用于检定、校准和检测的设施和环境条件,应符合所开展项目的技术规范或规则所规定的要求
B.在机构固定设施以外的场所进行抽样、检定、校准和检测时,可适当降低环境条件的要求
C.机构应监测、控制和记录环境条件
D.对影响检定、校准和检测质量的区域的进人和使用加以控制
14、技术指标描述规范的是()。
A.±(1×10-6×量程+2×10-6×读数)
B.±r×10%±0.025μs
C.±(r×10%±0.025μs)
D.±(r×10%+0.025μs)
15、强制检定的对象包括()。
A.社会公用计量标准器具
B.标准物质
C.列入《中华人民共和国强制检定的工作计量器具目录》的工作计量器具
D.部门和企业、事业单位使用的最高计量标准器具
16、下列条件中,属于计量标准必须具备的条件的有()。
A.计量标准器及配套设备能满足开展计量检定或校准工作的需要
B.具有正常工作所需要的环境条件及设施
C.具有一定数量高级职称的计量技术人员
D.具有完善的管理制度
17、计量标准考核的原则有()。
A.执行考核规范的原则
B.逐项考评的原则
C.考评员考评的原则
D.现场考核的原则
18、计量标准测量能力的确认通过如下()方式进行。
A.现场实验
B.对技术资料的审查
C.重复性试验
D.稳定性考核
19、数字显示仪器的分辨力为1μm,可假设在区间内的概率分布为均匀分布,则由分辨力引起的标准不确定度分量为()。
A.A
B.B
C.C
D.D
20、计算合成标准不确定度:uc(y),计算时应考虑()。
A.对于非线性数学模型则应考虑是否存在值得考虑的高阶项
B.在无法确定被测量y的概率分布时,或该测量领域有规定时,也可以直接取包含因子k=2
C.列出不确定度分量的汇总表,表中应给出每一个不确定度分量的详细信息
D.各输入量之间是否存在值得考虑的相关性
参考答案:
【一、单项选择题】
1~5 BACCA 6~10 BADCA
11~20点击安装“注册计量师题库APP”查看答案
【二、多项选择题】
1 BCD 2 ABC 3 AC 4 AB 5 BC
6~20点击安装“注册计量师题库APP”查看答案
如果这样刷题不过瘾,请立即安装APP刷题,历年真题、高质量模拟题应有尽有。