一级注册计量师是从事计量检定、校准、检验、测试等计量技术工作人员参与报考的考试,考试每年6月份举行,全国统一大纲、统一命题,一级注册计量师资格考试设《计量法律法规及综合知识》(客观选择题)、《测量数据处理与计量专业实务》(客观选择题)和《计量专业案例分析》(主观案例分析题)三个科目。上学吧一级注册计量师题库在汇集了考试历年真题和高质量模拟试题,希望我们的题库可以为正在备考的您助力。现在点击安装APP刷题。以下为试卷的详细内容:
一、单项选择题参考答案见试卷末尾
1、测某1kg的标准硅码的实际质量值为1.0003kg,使用该硅码进行测量时,其示值修正值及其偏差分别是()
A.-0.3mg和-0.3mg
B.-0.3mg和+0.3mg
C.+0.3mg和-0.3mg
D.+0.3mg和+0.3mg
2、对被测量进行了5次独立重复测量,得到以下测量值:0.31,0.32,0.30,0.35,0.32。计算被测量的最佳估计值,即得到的测量结果为( )。
A.0.31
B.0.32
C.0.33
D.0.34
3、在对异常值剔除时,下列描述正确的是()
A.n>50的情况下,格拉布斯准则效果较好
B.3
C.对多于一个异常值时,采用格拉布斯准则较好
D.格拉布斯准则只是作为异常值剔除的粗估,不能用于发现异常值
4、下列对重复性描述正确的是()。
A.计量标准的重复性是考核计量标准随时间漂移的能力
B.测量结果的重复性就是测量结果的不确定度
C.测量结果的分散性通常比计量标准本身所引入的分散性稍小
D.测量结果的重复性包括所用计量标准等因素以及实际被测量的随机变化
5、为了使所有给出的测量结果之间能够方便地相互比较,在确定扩展不确定度时,大多数情况下取包含因子为()。
A.k=3
B.k=2.58
C.k=1.73
D.k=2
6、下列说法中能正确描述测量仪器的分辨力的是()。
A.数字电压表最低位数字显示变化一个字的示值差为1μV,则分辨力为0.5μV
B.线纹尺的最小分度为1mm,则分辨力为0.1mm
C.衰减常数为0.1dB/cm的截止式衰减器,其刻度的最小分度为10mm,则该衰减器的分辨力为0.01dB
D.用标尺读数装置的测量仪器的分辨力为:标尺上任意两个相邻标记之间最小分度值的一半
7、计算合成标准不确定度:uc(y),计算时应考虑各输入量之间是否存在值得考虑的(),对于非线性数学模型,则应该考虑是否存在值得考虑的高阶项。
A.相关性
B.高阶项
C.线性
D.重复
8、测量某一量值,其结果为:10.5,10.7,10.3,求其A类标准不确定度为()。(其中n=2时,极差系数C=1.13;n=3时,极差系数C=1.69;n=4时,极差系数C=2.060)
A.0.35
B.0.12
C.0.19
D.0.24
9、法定计量检定机构开展校准时必需具备()
A.经过法定计量检定机构给予校准的计量器具
B.按规定经考核合格,并取得计量标准考核证书的计量标准器
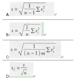
C.准确度高于被校准测量仪器的计量器具
D.经检定合格的计量标准器
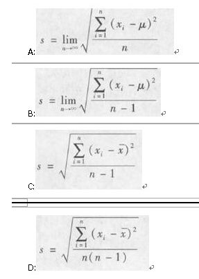
10、在检定、校准或检测的原始记录上应由实验操作和核验的人员分别(),以示对实验负责。
A.盖上个人姓名章
B.签署代表某人的编号
C.使用墨水笔签署自己的姓名
D.用计算机打印各自姓名
11、测量仪器由于误操作或过载,所给出的结果可疑时,应采取如下措施()。
A.停用
B.修理
C.修理后继续实验
D.停用,并追查所有可能受其影响的测量结果,给予纠正
12、对检定、校准、检测工作中执行的技术文件为了()必须进行受控管理。
A.保密
B.使用方便
C.保证是现行有效版本
D.满足考核要求
13、检定、校准人员打印的检定、校准证书,经核验人员核验并签名后,必须由()进行最后审核批准,签字发出。
A.技术负责人
B.质量负责人
C.本专业证书批准人
D.非本专业证书批准人
14、证书、报告的副本()。
A.应按规定的保存期保存
B.根据需要可以保存也可以不保存
C.只能是原件的复印件才能保证与原件完全一致
D.应永久保存
15、对检定、校准、检测结果要实施监控。监控必须()。
A.利用实验室间的比对或能力验证计划
B.采用统计技术对结果进行审查
C.结合所进行的工作类型和工作量采取一种或几种有效的方法
D.由上级主管部门实施
16、在校准证中对测量结果在一个量程范围内的,其结果的不确定度在整个量程中差异较大,此时应()。
A.以量程中点的测量结果不确定度代表该量程测量结果的不确定度
B.以函数形式或每个检定、校准点均给出测量不确定度
C.只给出量程上限点和下限点结果的不确定度
D.以量程内各测量点巾不确定度最大值作为该量程测量结果的不确定度
17、开展计量检定的技术依据是()
A.国家计量检定规程
B.国家计量检定系统表
C.国家计量校准规范
D.国家测试标准
18、国家计量院参加国际计量局和亚太区域计量组织组织实施的比对且测量结果在等效线以内,比对结果可以作为各国计量院互相承认校准及测量能力的技术基础,测量能力得到国际计量局认可,其校准和测试证书在()得到承认。
A.国际计量局
B.米制公约成员国
C.各国政府
D.各国计量院
19、测量审核是指由实验室对被测物品进行实际测试,将测试结果与()进行比较的情况。
A.标称值
B.参考值
C.真值
D.主导实验室测量值
20、比对方法应遵循科学合理的原则,首选国际建议、国际标准推荐的并已经过适当途径所确认的方法和程序,也可以采用()规定的方法和程序。
A.比对方案
B.国家计量检定规程或国家计量技术规范
C.国家标准/或行业标准
D.比对作业指导书
21、比对报告内容应明确参比实验室提交证书、报告的时间、内容和要求。可以要求提交实验原始记录的复印件及电子版,但实验结果应以()为准。
A.校准证书
B.原始记录
C.比对结果
D.检定证书
22、JJF1069《法定计量检定机构考核规范》中规定"应根据规定的程序和日程对计量基(标)准、传递标准或工作标准以及标准物质进行核查,以保持其()的可信度。"
A.检定或校准状态
B.测量标准
C.测量结果
D.质量监控
23、期间核查实质上是核查()对测量仪器示值的影响是否有大的变化。
A.系统效应
B.随机效应
C.示值误差
D.测量不确定度
24、期间核查是在两次校准或检定之间,在实际工作的环境条件下,对预先选定的()进行定期或不定期的测量,考察测量数据的变化情况,以确认其校准状态是否继续可信。
A.测量标准
B.被校准对象
C.同一核查标准
D.计量标准
25、期间核查是由本实验室人员使用自己选定的核查标准按照()进行。
A.计量检定规程
B.自己制定的核查方案
C.计量校准规范
D.核查标准说明书
26、计量器具的型式指某一计量器具、它的样机以及它的技术文件()等。
A.图纸和设计资料
B.实验大纲
C.生产标准
D.实验数据
27、进口计量器具型式批准的对象是()。
A.列入强检目录的工作计量器具
B.凡申请制造的计量器具新产品
C.列入《中华人民共和国进口计量器具型式审查目录》的计量器具
D.列入《中华人民共和国依法管理的计量器具目录(型式批准部分)》的计量器具
28、申请国内计量器具型式批准的单位向()递交型式批准申请书。
A.国务院计量行政部门
B.省级政府计量行政部门
C.当地政府计量行政部门
D.省级以上技术机构
29、申请进口计量器具型式批准的外商或其代理人向()递交申请书。
A.国务院计量行政部门
B.省级政府计量行政部门
C.当地政府计量行政部门
D.省级以上技术机构
30、型式评价的试验项目可划分为主要单项和非主要单项。非主要单项一般是指()的其他项目。
A.检定规程中列出B
B.校准规范中列出
C.影响法制管理要求
D.不影响法制管理要求
31、首次试验不合格的,由技术机构通知申请单位,可在()内对样机和技术资料进行一次改进。改进后,送原技术机构重新进行型式评价。此时也应向委托型式评价的政府计量行政部门说明,并提交后续工作的时间计划。
A.6个月
B.1个月
C.3个月
D.2周
32、型式评价综合判定要依据单项判定的结论做出:凡有一项以上(含一项)主要单项不合格的,综合判定为()。
A.不合格
B.该规格不合格
C.除去不合格的规格外,系列中其他产品合格
D.重新试验后再作评价
33、型式评价综合判定要依据单项判定的结论做出:凡有两项以上(含两项)非主要单项不合格的,综合判定为()。
A.不合格
B.该规格不合格
C.除去不合格的规格外,系列中其他产品合格
D.重新试验后再作评价
34、科技成果组织鉴定单位应当在收到鉴定申请之日起()内,明确是否受理鉴定申请,并做出答复。
A.30天
B.7天
C.1年内
D.3个月
35、在科技成果鉴定中,()的作用是一般科技情报人员无法替代的,但具有一定程度的个人因素。
A.文献检索
B.评审专家
C.科技查新
D.试验验证
36、在科技成果鉴定中,( )针对具体项目的需要,仅提供文献线索和原文,对项目不进行分析和评价。
A.文献检索
B.评审专家
C.科技查新
D.试验验证
37、在科技成果鉴定中,()有较严格的时限、范围和程序规定,有查全、查准的严格要求,要求给出明确的结论,查新结论具有客观性和鉴证性,但不是全面的成果评审结论。
A.文献检索
B.评审专家
C.科技查新
D.试验验证
38、不需要进行现场考察、测试和答辩即可做出评价的科技成果,可以采用()形式。
A.检测鉴定
B.会议鉴定
C.函审鉴定
D.主持鉴定
39、在研究对象内部要素和结构未知的情况下,常采用"()"的测试分析方法,以对系统施加外部作用(即输入),并观察和记录其输出。
A.文献查询法
B.黑箱分析法
C.科学实验法
D.数学模型分析法
40、对数字多用表的直流电压在20V量程时,其分辨率为100uA,则由分辨率引起的标准不确定度分量为()。
A.12.5uA
B.25uA
C.28.9uA
D.57.7uA
41、某一精密压力表的检定证书上给出其准确度等级为0.4级,则该精密压力表示值误差的标准不确定度为()
A.0.28%
B.0.13%
C.0.20%
D.0.23%
42、()不是与计量标准的环境条件相关。
A.温度
B.湿度
C.漂移
D.辐射
43、当比对传递标准器稳定性容易受环境、运输等影响时,为了比对结果的有效性,应选择()。
A.圆环式
B.星形式
C.组合式
D.花瓣式
44、对某标值为x进行测量,其测量结果为
,则其修正值为()
45、关于实验标准差计算公式,下列表示正确的有()。
46、一台数字电压表的技术指标描述规范的是()。
47、有限次测量时,其实验标准差计算公式为()。
48、合成的概率分布为非正态分布时,弱合成分布接近均匀分布,则p=0.95的包含因子K0.95为()
A.1.65
B.1.71
C.1
D.√2
49、最大允许误差为[+a,-b]的合格仪器。在测量时按均匀分布考虑,其示值的B类标准不确定度为()
A.(a+b)√3
B.(a-b)√3
C.(a+b)2√3
D.(a-b)2√3
50、计算合成标准不准确度:Uc(y),计算时应考虑各输入量之间是否存在值得考虑的(),对于非线性数学模型,则应该考虑是否存在值得考虑的高阶项。
A.相关性
B.高阶项
C.线性
D.重复
二、多项选择题参考答案见试卷末尾
1、下列对重复性描述正确的是()。
A.计量标准的重复性是计量标准的能力
B.测量结果的重复性是测量结果的不确定度的一个分量
C.测量结果的分散性通常比计量标准本身所引人的分散性稍大
D.测量结果的重复性包括所用的计量标准等因素以及实际被测量的随机变化
2、表征概率分布的特征参数是()。
A.期望
B.方差
C.算术平均值
D.实验标准差
3、在评定B类标准不确定度分量时,一般可利用的信息包含()。
A.生产部门提供的技术说明文件(制造厂的技术说明书)
B.校准证书、检定证书、测试报告或其他提供的数据、准确度等级等
C.手册或某些资料给出的参考数据及其不确定度
D.规定测量方法的校准规范、检定规程或测试标准中给出的数据
4、测量不确定度是表征合理地赋予被测量之值的分散性,与测量结果相联系的参数。其参数可用(ABCD)表示。
A.实验标准差
B.实验标准差的倍数
C.算术平均值实验标准差
D.说明了包含概率的区间的半宽度
5、以下表述中,不规范表述的有()。
A.220V±10%
B.50±0.5Hz
C.1-10A
D.1-5%
6、下列对不确定度描述正确的有()。
A.用对观测列进行统计分析的方法来评定标准不确定度,称为A类评定
B.用不同于对观测列进行统计分析的方法来评定标准不确定度,称为B类评定
C.用对观测列进行统计分析的方法来评定标准不确定度,称为B类评定
D.用不同于对观测列进行统计分析的方法来评定标准不确定度,称为A类评定
7、实验室的设施和环境条件是保证检定、校准和检测结果准确可靠的重要资源,为此应做到()。
A.用于检定、校准和检测的设施和环境条件,应符合所开展项目的技术规范或规则所规定的要求
B.在机构固定设施以外的场所进行抽样、检定、校准和检测时,可适当降低环境条件的要求
C.机构应监测、控制和记录环境条件
D.对影响检定、校准和检测质量的区域的进入和使用加以控制
8、建立计量标准的法律依据是()。
A.《中华人民共和国计量法》
B.《中华人民共和国计量法实施细则》
C.《计量标准考核办法》
D.《计量标准考核规范》
9、计量标准的使用条件是()。
A.经计量检定合格
B.《计量标准考核规范》
C.具有称职的保存、维护、使用人员
D.计量检定规程或技术规范
10、计量标准考核的原则有()。
A.执行考核规范的原则
B.逐项考评的原则
C.考评员考评的原则
D.现场考核的原则
11、计量标准器及配套诠备的考核要求有()。
A.科学合理,完整齐全,并能满足开展检定或校准工作的需要
B.计量特性必须符合相应计量检定规程或技术规范的规定
C.量值应当定期溯源至国家计量基准或社会公用计量标准
D.应有连续、有效的检定或校准证书
12、计量标准负责人应当对计量标准的()等负责。
A.使用
B.维护
C.溯源
D.文件集的维护
13、每项计量标准应当建立一个文件集。申请考核单位应当保证文件的()。
A.完整性
B.保密性
C.真实性
D.正确性
14、计量标准的量值溯源和传递框图包括()。
A.上一级计量器具
B.本级计量器具
C.下一级计量器具
D.国家计量检定系统表
15、建立计量标准要从实际出发,科学决策,讲求效益。应当考虑的要素有()。
A.进行需求分析
B.建立计量标准应当购置的标准器、配套设备及其技术指标
C.建立计量标准的物质、经济、法律保障等基础条件
D.是否具有或需要培养使用、维护及操作计量标准的技术人员
16、()是《计量标准技术报告》的内容。
A.建立计量标准的目的
B.计量标准的工作原理及其组成
C.计显标准器及主要配套设备
D.检定或校准人员
17、()是《计量标准技术报告》的栏目
A.计盐标准的重复性试验
B.计量标准的稳定性考核
C.检定或校准结果的测量'不确定度评定
D.检定或校准结果的验证
18、计量标准的技术监督方式之一是采用技术手段进行监督。技术手段包括()。
A.稳定性考核
B.量值比对
C.盲样试验
D.测量过程控制
19、计量标准的保存和维护工作包括()。
A.应当指定专门的人员负责
B.每年至少应当进行一次计量标准测量重复性试验和稳定性考核
C.保证计量标准溯源的有效性、连续性
D.计量标准的文件集应当实施动态管理,及时更新
20、编写检定规程有()基本要求。
A.满足法制管理要求
B.优先采用国际通用的方法
C.科学合理、经济、可行
D.技术细节完备
21、制定、修订计量检定规程,起草单位提出国家计量检定规程征求意见稿,以及编写说明等有关附件。其附件应包括()。
A.编写说明
B.试验报告
C.误差分析
D.采用国际建议、国际文件或国际标准的原文及中文译本
22、主导实验室确定传递标准的运输方式,并保证传递标准在运输交接过程中的安全。各参比实验室在接到传递标准后应立即()。
A.核查传递标准是否有损坏
B.核对货物清单
C.填好交接单
D.通知主导实验室
23、根据比对所选择的传递标准的特性确定比对路线,可以选择()三种典型的路线形式中的二种。
A.圆环式
B.星形式
C.组合式
D.花瓣式
24、GB/T27025-2008《检测和校准实验室能力的通用要求》规定当需要利用期间核查以保持设备校准状态的可信度时,应按照规定的程序进行。""校准状态"是指()校准结果的状态。
A.示值误差
B.修正因子
C.修正值
D.校准结果
25、实验室应该编制有关期间核查的程序文件,期间核查的程序文件应规定()。
A.需要实施期间核查的计量标准或测量仪器
B.核查方法和评审程序
C.期间核查的职责分工及工作流程
D.出现测量过程失控或发现有失控趋势时的处理程序
26、选择核查标准的一般原则为()。
A.核查标准应具有需核查的参数和量值,能由被核查仪器、计量基准或计量标准测量
B.核查标准应具有良好的稳定性,某些仪器的核查还要求核查标准具有足够的分辨力和良好的重复性,以便核查时能观察到被核查仪器及计量标准的变化
C.必要时,核查标准应可以提供指示,以便再次使用时可以重复前次核查实验时的条件
D.由于期间核查是本实验室自己进行的工作,不必送往其他实验室。因此核查标准可以不考虑便携和搬运问题
27、型式评价时,申请单位提交的技术文件和资料包括()
A.样机照片,使用说明书
B.产品标准(含检验方法
C.总装图、电路国和主要零部件图
D.制造单位或技术机构所做的试验报告
28、技术机构收到完整的技术资料和样机后,开始型式评价工作,包括()
A.审查技术文件、资料
B.制定型式评价大纲
C.试验,出具型式评价报告等技术文件井上报
D.技术资料的整理归档
29、申请计量研究课题鉴定前应做的准备包括()。
A.取得必要的技术检测试验证明
B.进行成果查新
C.撰写研究工作报告
D.取得用户试用证明
30、鉴定科技成果一般组织鉴定可由()负责。
A.鉴定科技成果管理机构
B.授权省级人民政府有关主管部门
C.委托有关单位
D.省级以上质量技术监督局
31、专家评审:主要是依据专家本人的专业知识、实践经验、对事物的综合分析能力以及所了解的专业信息,对被评对象的()等做出评价。
A.创造性
B.先进性
C.新颖性
D.实用性
32、计量科学研究报告的撰写中对"问题和讨论"一般包括()。
A.由于客观原因未进行研究的问题
B.已进行研究但由于各种条件限制而未取得结果的问题
C.与本项目有关但未列入本项目研究重点的问题
D.值得与同行商榷的有关问题
33、计量科学研究的前期调研应注意:()。
A.准确拟定调研问题,合理选择调研方式
B.充分收集与课题相关的信息,科学分析调研信息,了解相关领域的技术发展状况
C.分析拟发展课题的创造性、必要性和可行性
D.借鉴现有成果和技术,避免不必要的重复研究
34、按对法定计量检定机构关于期间核查的规定要求,下列各项中需要期间核查的对象()。
A.计量基准
B.工作计量器具
C.工作标准
D.本单位最高计量标准
35、型式评价结束后,技术机构向申请单位交付()。
A.所有实验用的样机
B.图纸和需要保密的其他技术资料
C.型式评价报告
D.型式评价大纲
参考答案:
【一、单项选择题】
1~5 CBBDD 6~10 DADBC
11~50点击安装“注册计量师题库APP”查看答案
【二、多项选择题】
1 ABCD 2 AB 3 ABCD 4 ABCD 5 ABCD
6~35点击安装“注册计量师题库APP”查看答案
如果这样刷题不过瘾,请立即安装APP刷题,历年真题、高质量模拟题应有尽有。