一级注册计量师是从事计量检定、校准、检验、测试等计量技术工作人员参与报考的考试,考试每年6月份举行,全国统一大纲、统一命题,一级注册计量师资格考试设《计量法律法规及综合知识》(客观选择题)、《测量数据处理与计量专业实务》(客观选择题)和《计量专业案例分析》(主观案例分析题)三个科目。上学吧一级注册计量师题库在汇集了考试历年真题和高质量模拟试题,希望我们的题库可以为正在备考的您助力。现在点击安装APP刷题。以下为试卷的详细内容:
一、单项选择题参考答案见试卷末尾
1、()是为了实现国家目标,通过核心技术突破和资源集成,在一定时限内完成的重大战略产品、关键共性技术和重大工程,是我国科技发展的重中之重。
A.国家自然科学基金
B.国家科技重大专项
C.国家重点研发专项
D.公益性行业科研专项
2、()不是计量标准考核的内容。
A.是否科学合理、经济、可行
B.是否具有完善的运行、维护制度
C.计量标准测量能力的确认
D.是否具备与所开展量值传递工作相适应的技术人员
3、型武评价综合判定要依据单项判定的结论做出:凡有一项以上(含一项)单项不合格的,综合判定为()。
A.不合格
B.该规格不合格
C.除去不合格的规格外,系列中其他产品合格
D.重新试验后再作评价
4、对检定、校准、检测结果要实施监控。监控必须()。
A.利用实验室间的比对或能力验证计划
B.采用统计技术对结果进行审查
C.结合所进行的工作类型和工作量采取一种或几种有效的方法
D.由上级主管部门实施
5、一台数字电压表的技术指标描述规范的是()
A.±(1×10-6×量程+2×10-6×读数)
B.±(1×10-6×量程±2×10-6×读数)
C.±1×10%×最程±2×10-6×读数
D.1×10-6×量程±2×10-6×读数
6、在检定水银温度计时,温度标准装置的恒温槽示值为100℃,将被检温度计插入恒温槽后被检温度计的指示值为99℃,则被检温度计的示值误差为()。
A.+1℃
B.+1%
C.-1℃
D.-2%
7、在比对工作中,参考值的确定方法有多种,由主导实验室提出经专家组评审并征得()同意后确定。
A.同行专家
B.参加实验室
C.比对组织者
D.主导实验室的领导
8、数字显示装置的分辨力为末位1个数字所代表的量值δx,则区间的半宽为()。
A.a=δx/2
B.
C.a=δx
D.a=0.29δx
9、在比对数据尚未正式公布之前,所有与比对相关的实验室和人员()。
A.可以与其他参加实验室交流比对数据,但不得在刊物上公布
B.不得泄露本实验室参加比对的标准器的规格型号
C.不得泄露比对结果
D.不得泄露参加比对的人员情况
10、在重复性条件下,用温度计对某实验室的温度重复测量了16次,通过计算得到其分布的实验标准偏差s=0.44℃,则其测量结果的标准不确定度是()。
A.0.44℃
B.0.11℃
C.0.88℃
D.0.22℃
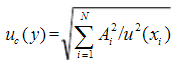
11、当被测量的函数形式为:Y=A1X1+A2X2+…+ANXN,且各输入量不相关时,合成标准不确定度uc(y)为()。
A.
B.
C.
D.
12、计量标准的稳定性是计量标准的()保持其随时间恒定的能力。
A.示值
B.复现值
C.计量特性
D.测量范围
13、申请国内计量器具型式批准的单位向()递交型式批准申请书。
A.国务院计量行政部门
B.省级政府计量行政部门
C.当地政府计量行政部门
D.省级以上技术机构
14、被测量受到许多相互独立的随机影响量的影响,这些影响量变化的概率分布各不相同,但各个变量的影响均很小时,被测量的随机变化服从()分布。
A.正态
B.均匀
C.反正弦
D.三角
15、型式批准的对象是()。
A.列入强检目录的工作计量器具
B.凡申请制造的计量器具新产品
C.列入强检目录的进口计量器具
D.列入《中华人民共和国依法管理的计量器具目录(型式批准部分)》的计量器具
16、计量器具的型式指某一计量器具、它的样机以及它的技术文件()等。
A.图纸和设计资料
B.实验大纲
C.生产标准
D.实验数据
17、开展计量校准的技术依据是()。
A.国家计量检定规程
B.国家许量检定系统表
C.国家计量校准规范
D.国家产品标准
18、当不可靠程度为20%时,B类标准不确定度的自由度为()。
A.50
B.12
C.8
D.6
19、国家计量检定规程管理办法规定,国家计量检定规程项目,雨国家质检总局下达给(),组织指导起草单位进行制定、修订工作。
A.全国专业计量技术委员会
B.计量测试学会
C.国家计量院
D.国务院计量行政部门
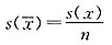
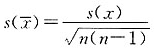
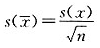
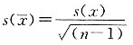
20、若测量值的实验标准偏差为s(x),则n次测量的算术平均值的实验标准偏差为()。
A.
B.
C.
D.
21、测某1kg的标准砝码的实际质量值为1.0003kg,使用该砝码进行测量时,其示值修正值及其偏差分别是()
A.-0.3g和-0.3g
B.-0.3g和+0.3g
C.+0.3g和-0.3g
D.+0.3g和+0.3g
22、U95表示()。
A.包含概率大约为95的测量结果的不确定度
B.k=2的测量结果的总不确定度
C.由不确定度分量合成得到的测量结果的不确定度
D.包含概率为规定的p=0.95的测量结果的扩展不确定度
23、型式评价应依据()。
A.产品规范,评价其是否合格
B.计量检定规程,评价其计量特性是否合格
C.校准规范,评价计量器具的计量特性和可靠性
D.型式评价大纲,评价所有的项目是否均符合型式评价大纲要求,提出可否批准该型式的建议
24、有限次测量时,其实验标准差计算公式为()。
A.
B.
C.
D.
25、在对异常值剔除时,下列描述正确的是()。
A.n>50的情况下,格拉布斯准则效果较好
B.3<n<50的情况下,格拉布斯准则效果较好,适用于单个异常值判定
C.对多于一个异常值时,采用格拉布斯准则较好
D.格拉布斯准则只是作为异常值剔除的粗估,不能用于发现异常值
26、期间核查是本实验室人员使用自己选定的核查标准按照()进行。
A.计量检定规程
B.自己制定的核查方案
C.计量校准规范
D.核查标准说明书
27、检定或校准结果的验证方法为()。
A.只能选择传递比较法
B.只能选择比对法
C.可以在传递比较法和比对法中任意选择一种
D.原则上应采用传递比较法,只有在不可能采用传递比较法的情况下才允许采用比对法
28、开展计量检定的技术依据是()。
A.国家计量检定规程
B.国家计量检定系统表
C.国家计量校准规范
D.国家测试标准
29、对检定、校准、检测工作中执行的技术文件为了()必须进行受控管理。
A.保密
B.使用方便
C.保证是现行有效版本
D.满足考核要求
30、科技查新按目的可分为()。
A.文献检索、专家评审
B.科研立项查新、成果鉴定查新、申请奖励查新
C.新颖性查新、创造性查新
D.科学性查新、创造性查新
二、多项选择题参考答案见试卷末尾
1、每项计量标准应当建立一个文件集,申请考核单位应当保证文件的()。
A.完整件
B.保密性
C.真实性
D.正确性
2、专项经费主要用于支持公益性科研任务较重的国务院所属行业主管部门,围绕《国家中长期科学和技术发展规划纲要(2006-2020年)》重点领域和优先主题,组织开展本行业应急性、培育性、基础性科研工作,主要包括:()。
A.行业应用基础研究
B.国家标准和行业重要技术标准研究
C.行业实用技术研究开发
D.计量、检验、检测技术研究
3、计量标准考核的内容有()。
A.是否具备与所开展量值传递工作相适应的技术人员
B.是否具有完善的运行、维护制度
C.计量标准测量能力的确认
D.是否科学合理,经济,可行
4、可以用以下几种形式中的()定量表示测量结果的测量不确定度。
A.标准不确定度分量ui
B.A类标准不确定度uA
C.合成标准不确定度uc
D.扩展不确定度U
5、标准砝码的质量为ms,测量结果为100.02147g,合成标准不确定度为uc(ms)为0.35mg,veff=9,按p=95%,查t分布值表得kp=t95(9)=2.26,U95=2.26×0.35mg=0.79mg。则Up可采用以下()形式之一报告。
A.ms=100.02147g;U95=0.79mg,veff=9
B.ms=(100.02147±0.00079)g;veff=9,括号内第二项为U95的值
C.ms=100.02147(79)g;veff=9,括号内为U95的值
D.ms=100.02147(0.00079)g;veff=9,括号内为U95的值
6、计量科学研究在研究任务完成后,通常要对研究成果进行技术评价,对研究工作进行总结验收。常见的形式主要有()和()两大类。
A.文献检索
B.项目验收
C.科技查新
D.成果鉴定
7、对测量结果或测量仪器示值的修正可以采取的措施是()。
A.加修正值
B.乘修正因子
C.给出中位值
D.给出修正曲线或修正值表
8、下列各项中()是申请科技成果登记必须提交的资料。
A.按照“国家科技成果登记系统”录入的成果信息
B.鉴定证书
C.全套技术资料
D.科技查新报告
9、以下数字中()为三位有效数字。
A.0.0700
B.5×10-3
C.30.4
D.0.005
10、型式批准申请获得受理后,申请单位应向执行型式评价任务的技术机构提交()。
A.完整的技术资料
B.试验样机
C.用户使用证明
D.科技查新
11、技术指标描述规范的是()。
A.±(1×10-6×量程+2×10-6×读数)
B.±r×10%±0.025μs
C.±(r×10%±0.025μs)
D.±(r×10%+0.025μs)
12、编写检定规程有()基本要求。
A.满足法制管理要求
B.优先采用国际通用的方法
C.科学合理、经济、可行
D.技术细节完备
13、按对法定计量检定机构关于期间核查的规定要求,下列各项中需要期间核查的对象是()。
A.计量基准
B.工作计量器具
C.工作标准
D.本单位最高计量标准
14、计量标准器及配套设备的考核要求有()。
A.科学合理,完整齐全地配置,并能满足开展检定或校准工作的需要
B.计量特性必须符合相应计量检定规程或计量技术规范的规定
C.量值应当定期溯源至国家计量基准或社会公用计量标准
D.应有连续,有效的检定或校准证书
15、型式评价结束后,技术机构向委托型式评价的政府计量行政部门提交以下材料一式三份:()不合格的,不报注册表。
A.型式评价大纲
B.型式评价报告
C.试验样机
D.计量器具型式注册表(带有外型照片)
16、下列表示中()的表示形式是正确的。
A.U95=1%(veff=9)
B.Ur=1%(k=2)
C.Uc=0.5%
D.U=±0.5%(k=1)
17、建立计量标准的法律依据是()。
A.《中华人民共和国计量法》
B.《中华人民共和国计量法实施细则》
C.《计量标准考核办法》
D.《计量标准考核规范》
18、常用的期间核查方法是:用被核查的测量设备适时地测量一个核查标准,记录核查数据,必要时画出核查曲线图,目的是()。
A.证明被核查对象的状态满足规定的要求,或与期望的状态有所偏离而需要采取措施
B.使测量设备具有溯源性
C.及时发现测量仪器计量标准出现的变化
D.使测量过程保持受控,确保测量结果的质量
19、技术机构收到完整的技术资料和样机后,开始型式评价工作,包括()。
A.审查技术文件、资料
B.制定型式评价大纲
C.试验,出具型式评价报告等技术文件并上报
D.技术资料的整理归档
20、撰写研究报告应做到()。
A.具有条理性,主题突出、层次分明、思路清晰、逻辑性强
B.反映创新性,重点从独、特、新等方面说明项目的创造性
C.注重学术性,力求说明指导研究过程的理论依据
D.强调严谨性,做到推理严谨、论证充分、资料翔实、分析透彻
参考答案:
【一、单项选择题】
1~5 BAACA 6~10 CBACB
11~30点击安装“注册计量师题库APP”查看答案
【二、多项选择题】
1 ACD 2 ABCD 3 ABC 4 CD 5 ABCD
6~20点击安装“注册计量师题库APP”查看答案
如果这样刷题不过瘾,请立即安装APP刷题,历年真题、高质量模拟题应有尽有。