自考计算机信息管理的核心课程有马克思主义政治经济学原理,英语(二),管理经济学,网络经济与企业管理,运筹学基础,操作系统概论,数据结构导论,数据库系统原理等。上学吧自考计算机信息管理题库将该考试近10年的历年真题进行了收集和解答,如果您能坚持刷题,必然学有所获,通过考试。现在就点击安装APP刷题。以下为试卷的详细内容:
一、单项选择题 每小题1分,共15题参考答案见试卷末尾
1、判断预测法包含()
A.滑动平均预测法
B.专家小组法
C.回归模型预测法
D.指数平均预测法
2、可用于不确定条件下决策的是()
A.决策树法
B.最大期望收益值标准
C.最小期望损失值标准
D.现实主义决策标准
3、确定性库存检验的前提是()
A.使用量不定,提前时间恒定
B.使用量恒定,提前时间不定
C.使用量与提前时间均不定
D.使用量与提前时间均恒定
4、在库存管理中,易燃易爆物品归于()
A.类存货单元
B.类存货单元
C.类存货单元
D.类存货单元
5、库存管理中,企业的年需求量一定,若每次的订货批量增加,则()
A.全年的订货费增加,保管费也增加
B.全年的订货费增加,但保管费减少
C.全年的订货费减少,但保管费增加
D.全年的订货费减少,保管费也减少
6、线性规划模型的标准形式中()
A.目标函数为等式方程组
B.目标函数为不等式方程组
C.约束条件为等式方程组
D.约束条件为不等式方程组
7、线性规划的一个基变量组,对应()
A.多个特解和多个基解
B.多个特解和一个基解
C.一个特解和多个基解
D.一个特解和一个基解
8、运输问题中的修正分配法也称为()
A.位势法
B.西北角法
C.闭合回路法
D.阶石法
9、结点i的时差Si计算公式为()
A.Si=LFi
B.Si=ESi
C.Si=LFi-ESi
D.Si=LFi+ESi
10、图论中的树满足的条件是()
A.连通且含圈
B.连通且不含圈
C.不连通且含圈
D.不连通且不含圈
11、如果A和B都是概率矩阵,则下列矩阵中必为概率矩阵的是()
A.A2+B2
B.A2-B2
C.2A+2B
D.A2B2
12、可以作为概率方阵的是()
A.
B.
C.
D.
13、在成本结构中,总成本包括固定成本和()
A.单位成本
B.可变成本
C.实际成本
D.计划成本
14、累计频率数称为()
A.随机变量
B.随机分布
C.随机数
D.随机数分布
15、排队论中,通常要求服务时间服从()
A.普阿松分布
B.负指数分布
C.正态分布
D.均匀分布
二、填空题 每小题1分,共10题参考答案见试卷末尾
1、一般来说,3~5年的经济预测为__
2、当相关系数R=0时,称y与x之间__
3、经济订货量是使一个库存周期的保管和__总费用达到最小的订货量
4、线性规划问题若有最优解,则它必定是某个基变量组的__
5、对于需求量大于供应量的运输问题,要虚设一个__
6、箭线式网络图中,以结点代表__
7、网络图中某项活动的最早完成时间等于它的最早开始时间加上它所需的__
8、图的最基本要素是点以及点与点之间的一些__
9、二阶马尔柯夫过程假定对某种事件未来周期的选择取决于__的事件的选择情况
10、在线性盈亏分析模型中,若企业实际产量__盈亏平衡点处产量,则企业亏损
三、名词解释题 每小题3分,共5题参考答案见试卷末尾
1、定量决策
2、相关检验
3、订货费用
4、最小二乘法
5、边际收益率
四、计算题Ⅰ 每小题5分,共3题参考答案见试卷末尾
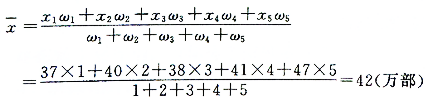
1、某品牌的一款手机在今年前五个月的月销量依次为:37,40,38,41,47(万部),现设定它们相对应的权数分别为1,2,3,4,5,试用加权平均数预测法,预测第6个月该款手机的销售量
2、某企业计划生产一型号的空调机,拟定的价格有A1、A2、A3三个方案,预计进入市场后可能的销售状态有三种,收益值如题32表,试以最大决策标准作出空调机价格的决策选择
3、某企业生产每年需要某种原料2000吨,每吨单价为1000元,已知每订购一次的订购费用是2000元,库存保管费用按年利率计算占平均存货额的20%,试求该企业最佳订货批量和全年最佳订货次数
五、计算题Ⅱ 每小题5分,共3题参考答案见试卷末尾
1、已知一种化工原料添加剂由一化工总公司分设在三个地区的化工一厂、二厂、三厂生产,并运往使用该添加剂的三个地区A、B、C,产量、销量及单位运价如题34表,试用西北角法求其最初运输方案及相应的总运输费用
2、已知甲、乙、丙三家快递公司同时为本地提供快递服务,已知今年初它们分别占有本地市场份额的40%、40%、20%,根据调查,今后甲公司保有其顾客的70%,丧失10%给乙,丧失20%给丙;乙公司保有其顾客的60%,丧失20%给甲,丧失20%给丙;丙公司保有其顾客的80%,丧失10%给甲,丧失10%给丙,试求在平衡时各家的占有率各是多少
3、已知某品牌的汽车在某地过去50天内销售记录如题36表,试求每种可能的销售量值的概率,并求出累计概率
六、计算题Ⅲ 每小题7分,共2题参考答案见试卷末尾
1、一企业生产某产品的单件可变成本为50元,售价90元,每年固定成本为80万元,求企业盈亏平衡点处的产量及盈亏平衡点时的总可变成本
2、已知连接5个城市的公路交通图如题38图所示,现在要在这5个城市间架设电话线,图中线边的数字表示拟建电话线的长度,要求电话线沿公路架设,而且电话线的总长度最小,试画出架设方案并求最小的电话线总长度
七、计算题Ⅳ 每小题8分,共2题参考答案见试卷末尾
1、某公司利用两种原料A、B生产甲、乙两种产品(吨),各产品所需的原料数,原料限量及单位产品所获利润如题39表。企业目标是追求利润的最大化,试写出该线性规划问题的数学模型,并用图解法求出最优解和最大利润
2、某一项工程有7项活动,有关数据如题40表,试绘制该工程的箭线式网络图,求出各结点的时间参数并写出关键线路
参考答案:
【一、单项选择题】
1~5 BDDAC 6~10 CBACB
11~15点击安装“计算机信息管理自考APP”查看答案
【二、填空题】
1 长期预测 2 完全不相关 3 订货 4 可行基解 5 供应点
6~10点击安装“计算机信息管理自考APP”查看答案
【三、名词解释题】
1 借助于某些正规的计量方法而做出的决策。 2 判定y与x的相关程度或两者之间的线性关系的检验。 3 当安排某项订货时,每一次订货都要承担的费用。 4 指寻求使误差平方总和为最小的配合趋势线的方法。 5 指产品边际收益值与产品销售价之比。
【四、计算题Ⅰ】
1


【五、计算题Ⅱ】
1

总费用为S=5×50+4×50+6×100+3×50+4×150=1800(元)。
2

【六、计算题Ⅲ】
1


最小的电话总长度是13。
【七、计算题Ⅳ】
1


如果这样刷题不过瘾,请立即安装APP刷题,历年真题、高质量模拟题应有尽有。