自考计算机信息管理的核心课程有马克思主义政治经济学原理,英语(二),管理经济学,网络经济与企业管理,运筹学基础,操作系统概论,数据结构导论,数据库系统原理等。上学吧自考计算机信息管理题库将该考试近10年的历年真题进行了收集和解答,如果您能坚持刷题,必然学有所获,通过考试。现在就点击安装APP刷题。以下为试卷的详细内容:
一、单项选择题 每小题1分,共15题参考答案见试卷末尾
1、利用回归方程确定置信区间时,一般要求实际值落入置信区间内的概率应达到()
A.85%
B.90%
C.95%
D.100%
2、相关系数R的取值范围是()
A.(-¥,+¥)
B.(0,+¥)
C.(-1,1)
D.[-1,1]
3、最小最大遗憾值决策标准适用于()
A.确定条件下的决策
B.不确定条件下的决策
C.风险条件下的决策
D.充分条件下的决策
4、属于保管费用的是()
A.采购人员差旅费
B.设备调整费
C.设备检验费
D.设备折旧费
5、库存管理中,企业的年需求量一定,若每次的订货批量减少,则()
A.全年的订货费增加,保管费也增加
B.全年的订货费增加,但保管费减少
C.全年的订货费减少,但保管费增加
D.全年的订货费减少,保管费也减少
6、线性规划模型中,基解要求()
A.所有的非基变量都等于0
B.所有的基变量都等于0
C.所有的非基变量都不等于0
D.所有的基变量都不等于0
7、线性规划的一个基变量组,对应()
A.多个通解和多个特解
B.多个通解和一个特解
C.一个通解和一个特解
D.一个通解和多个特解
8、用修正分配法求解运输问题时,得到的改进指数也称为()
A.位势差
B.位势和
C.前进指数
D.后进指数
9、在结点式网络图中,结点代表()
A.活动
B.活动的开始
C.活动的完成
D.各活动之间的承接关系
10、在箭线式网络图中,某项活动最迟开始时间等于()
A.它的箭尾结点的最早完成时间
B.它的箭头结点的最早完成时间
C.它的箭尾结点的最迟完成时间
D.它的箭头结点的最迟完成时间
11、可以作为概率向量的是()
A.
B.
C.
D.
12、线性规划的模型结构中,决策对于实现目标的限制因素称为()
A.线性函数
B.目标函数
C.约束条件
D.变量
13、普赖姆法可用以解决()
A.最小枝杈树问题
B.最短路线问题
C.最大流量问题
D.最佳订货批量问题
14、在线性盈亏分析模型中,若企业实际产量大于盈亏平衡点处产量,则()
A.总利润大于总收益
B.总收益大于总成本
C.总利润大于总成本
D.总成本大于总收益
15、模拟中常用到的方法是()
A.关键路线法
B.单纯形法
C.阶石法
D.蒙特卡洛法
二、填空题 每小题1分,共10题参考答案见试卷末尾
1、特尔斐法适用于摇银摇__预测
2、由决策树中决策点引出的树枝,称为__
3、线性规划的基本特点是模型中的__
4、所有产地的总产量与所有销地的总需求量相等的运输问题,称为__
5、对于需求量大于供应量的运输问题,虚设的供应点到任何一个需求点的单位运费都等于__
6、箭线式网络图中,“冶符号表示虚活动,它不消耗资源,不占用__
7、关键线路的线路时差等于__
8、在一个网络中,如果图形是连通且不含圈的,则称之为__
9、盈亏平衡分析中,所有成本都能分为固定的和可变的两个部分时,总成本与销售量的关系是__
10、在排队论中,通常要求服务时间呈摇银摇__分布
三、名词解释题 每小题3分,共5题参考答案见试卷末尾
1、时间序列分析法
2、安全库存量
3、网络图的作业时间
4、离散的随机变量
5、马尔柯夫过程
四、计算题Ⅰ 每小题5分,共3题参考答案见试卷末尾
1、某企业生产的一款多孔三相电源插座今年前5个月的生产成本依次为:25,23,22,22,21(元/个),现设定它们相对应的权数分别为1,1,2,3,3,试用加权平均数预测法,预测第6个月该插座的生产成本
2、某企业计划生产某款护发素,拟定的价格有A1、A2、A3三个方案,预计进入市场后可能的销售状态有三种,收益表如题32表,试以最大最大决策标准作出该款护发素价格的决策选择
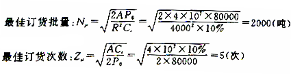
3、某冰箱制造厂每年需要采购钢材原料10000吨,每吨钢材采购单价为4000元,已知每订购一次的订购费用是80000元,库存保管费用按年利率计算占平均存货额的10%,试求该制造厂最佳订货批量和全年最佳订货次数
五、计算题Ⅱ 每小题5分,共3题参考答案见试卷末尾
1、一公司在洛阳、长沙、武汉的分厂生产工艺用水晶玻璃,并运往北京、上海、广州三地销售,产量、销量及单位运价如题34表,试用西北角法求其最初运输方案及相应的总运输费用
2、已知今年1月初,甲、乙、丙三家啤酒公司分别占有本地市场份额的40%、30%、30%,根据调查,今后甲公司保有其顾客的90%,丧失5%给乙,丧失5%给丙;乙公司保有其顾客的80%,丧失15%给甲,丧失5%给丙;丙公司保有其顾客的85%,丧失5%给甲,丧失10%给乙,试求明年初该三家公司各占多少市场份额
3、已知某品牌袋装大米在某区域过去50天内销售记录如题36表,试求每种可能的销售量值的概率,并求出累计概率
六、计算题Ⅲ 每小题7分,共2题参考答案见试卷末尾
1、甲公司生产一种产品,已知产品的单件可变成本为30元,售价为50元,每年的固定成本为40万元,求企业盈亏平衡点处的产量;若公司现有生产能力4万件,求每年能获得多少利润
2、某人开车要从甲地自驾游到乙地,中间可穿行的市镇与行车道网络如题38图所示,试画出从甲地到乙地的最短路线图并求出最短路长
七、计算题Ⅳ 每小题8分,共2题参考答案见试卷末尾
1、某公司利用两种原料A、B生产甲、乙两种产品(吨),各产品所需的原料数,原料限量及单位产品所获利润如题39表。企业目标是追求利润的最大化,试写出该线性规划问题的数学模型,并用图解法求出最优解和最大利润
2、某一项工程有7项活动,有关数据如题40表,试绘制该工程的箭线式网络图,求出各结点的时间参数并写出关键线路
参考答案:
【一、单项选择题】
1~5 CDBDB 6~10 ADAAC
11~15点击安装“计算机信息管理自考APP”查看答案
【二、填空题】
1 长期或中期 2 方案枝 3 线性函数 4 平衡运输问题 5 0
6~10点击安装“计算机信息管理自考APP”查看答案
【三、名词解释题】
1 指根据预测对象的历史数据,利用数理统计方法加以处理,来预测事物的发展趋势。 2 是为了预防可能出现的缺货现象而保持的额外库存量。 3 指在一定的生产技术条件下,完成一项活动或一道工序所需的时间。 4 指允许在某个给定的范围内取有限个数的随机变量。 5 指由一种情况转换至另一种情况的过程,且该过程是有转换概率此转换概率可以依据其紧接的前项情况推算出来。
【四、计算题Ⅰ】
1


【五、计算题Ⅱ】
1



【六、计算题Ⅲ】
1

先求出与乙连接的点3,3-乙就是最短路,最短路长是2:
接着求出与3,乙连接的点4,4-乙就是最短路。最短路长是2;
进而求出与4,3,乙连接的点1,1-4-乙就是最短路,最短路长是3;
再求出与1,4,3.乙连接的点2,2-1-4-乙就是最短路,最短路长是5;
最后得到从甲到乙的最短路如答38图所示:

【七、计算题Ⅳ】
1


如果这样刷题不过瘾,请立即安装APP刷题,历年真题、高质量模拟题应有尽有。