考研是指教育主管部门和招生机构为选拔研究生而组织的相关考试的总称,由国家考试主管部门和招生单位组织的初试和复试组成。考试科目有公共课和专业课,近年来考研的报名人数继续呈递增趋势。上学吧考研题库在公共课板块已经汇集了上千份试卷,同时专业课板块也在努力更新中。希望这些努力可以为正在备考的考生们助力。现在点击安装APP刷题。以下为试卷的详细内容:
一、选择题参考答案见试卷末尾
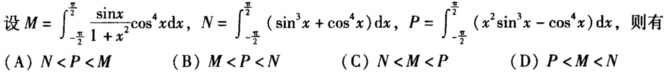
1、
A.有且仅有水平渐近线
B.有且仅有铅直渐近线
C.既有水平渐近线,也有铅直渐近线
D.既无水平渐近线,也无铅直渐近线
2、当x→0时,下列四个无穷小量中,哪一个是比其他三个更高阶的无穷小量?( ).
3、设f(x)在x=0处满足fˊ(0)=f〞(0)=…=f(n)(0)=0,f(n+1)(0)>0,则( )
A.当n为偶数时,x=0是f(x)的极大值点
B.当n为偶数时,x=0是f(x)的极小值点
C.当n为奇数时,x=0是f(x)的极大值点
D.当n为奇数时,x=0是f(x)的极小值点
4、已知f(x)在x=0的某个邻域内连续,且f(0)=0,
则在点x=0处f(x)( ).
A.不可导
B.可导,且fˊ(0)≠0
C.取得极大值
D.取得极小值
5、设F(x)是f(x)在区间(0,1)内的一个原函数,则F(x)+f(x)在区间(0,1)内( ).
A.可导
B.连续
C.存在原函数
D.是初等函数
6、
7、设A是n阶方阵,线性方程组AX=0有非零解,则线性非齐次方程组ATX=b对任意b=(b1,b2,…,bn)T( ).
A.不可能有唯一解
B.必有无穷多解
C.无解
D.或有唯一解,或有无穷多解
8、已知α1=(-1,1,a,4)T,α2=(-2,l,5,a)T,α3=(a,2,1)T是四阶方阵A的属于三个不同特征值的特征向量,则a的取值为( ).
A.a≠5
B.a≠﹣4
C.a≠﹣3
D.a≠﹣3且a≠﹣4
参考答案:
【一、选择题】
1~5 ADDDC
如果这样刷题不过瘾,请立即安装APP刷题,历年真题、高质量模拟题应有尽有。