考研是指教育主管部门和招生机构为选拔研究生而组织的相关考试的总称,由国家考试主管部门和招生单位组织的初试和复试组成。考试科目有公共课和专业课,近年来考研的报名人数继续呈递增趋势。上学吧考研题库在公共课板块已经汇集了上千份试卷,同时专业课板块也在努力更新中。希望这些努力可以为正在备考的考生们助力。现在点击安装APP刷题。以下为试卷的详细内容:
一、选择题参考答案见试卷末尾
1、设函数f(x)在区间[-1,1]上连续,则x=0是函数
的( ).
A.跳跃间断点
B.可去间断点
C.无穷间断点
D.振荡间断点
2、设函数f(x)在x=0处连续,且
则( ).
A.f(0)=0且fˊ-(0)存在
B.f(0)=1且fˊ-(0)存在
C.f(0)=0且fˊ+(0)存在
D.f(0)=1且fˊ+(0)存在
3、
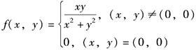
4、二元函数
,在点(0,0)处()。
A.连续,偏导数存在
B.连续,偏导数不存在
C.不连续,偏导数存在
D.不连续,偏导数不存在
5、
6、设α1,α2,…,αs均为n维向量,下列结论不正确的是( ).
A.若对于任意一组不全为零的数k1,k2,…,ks,都有k1α1+k2α2+…+ksαs≠0,则α1,α2,…,αs线性无关
B.若α1,α2,…,αs线性相关,则对于任意一组不全为零的数k1,k2,…,ks,有k1α1+k2α2+…+ksαs=0
C.α1,α2,…,αs线性无关的充分必要条件是此向量组的秩为s
D.α1,α2,…,αs线性无关的必要条件是其中任意两个向量线性无关
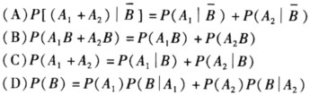
7、已知0<P﹙B﹚<1,且P[(A1+A2)|B]=P(A1|B)+P(A2|B),则下列选项成立的是( ).
8、
参考答案:
【一、选择题】
1~5 BCBCA
如果这样刷题不过瘾,请立即安装APP刷题,历年真题、高质量模拟题应有尽有。