自考计算机信息管理的核心课程有马克思主义政治经济学原理,英语(二),管理经济学,网络经济与企业管理,运筹学基础,操作系统概论,数据结构导论,数据库系统原理等。上学吧自考计算机信息管理题库将该考试近10年的历年真题进行了收集和解答,如果您能坚持刷题,必然学有所获,通过考试。现在就点击安装APP刷题。以下为试卷的详细内容:
一、单项选择题 每小题1分,共15小题参考答案见试卷末尾
1、按内容划分,预测方法中包含()
A.定量预测
B.定性预测
C.经济预测
D.直观预测
2、回归方程式y=a+bx中的系数a=()
A.
B.
C.
3、不确定条件下的决策方法中,包括()
A.最大最大决策标准
B.最大最大遗憾值决策标准
C.最小最小决策标准
D.最小最小遗憾值决策标准
4、大批量采购的优点是()
A.保管费用较低
B.占用资金较少
C.降低订货费用
D.库存货物的更换率高
5、线性规划的一个可行解必定是()
A.最优解
B.基解
C.通解
D.特解
6、将线性规划模型转换为标准形式时,通常要求在约束条件中引入()
A.决策变量
B.松弛变量
C.基变量
D.非基变量
7、用阶石法在选择调整路线中挑选是()
A.正号格的最大运量为调整运量
B.负号格的最大运量为调整运量
C.正号格的最小运量为调整运量
D.负号格的最小运量为调整运量
8、若用阶石法求解运输问题得到最优运输方案,则有()
A.各个空格的改进指数都小于或等于0
B.各个空格的改进指数都小于0
C.各个空格的改进指数都大于或等于0
D.各个空格的改进指数都不等于0
9、箭线式网络图中,某项活动的最迟完成时间等于该活动()
A.箭尾结点的最迟完成时间
B.箭头结点的最迟完成时间
C.箭尾结点的最早完成时间的
D.箭头结点的最早完成时间
10、求解最小枝杈树问题的算法之一是()
A.关键线路法
B.位势法
C.克鲁斯喀尔法
D.闭合回路法
11、如果A是概率矩阵,则下列矩阵中亦为概率矩阵的是()
A.A3
B.3A
C.1/3A
D.3A2
12、可以作为概率方阵的是
13、在线性盈亏分析模型中,在盈亏平衡点处,必有()
A.总成本为0
B.总销售收入为0
C.总利润为0
D.可变成本为0
14、在非线性盈亏分析模型中,通常存在一个()
A.利润最大的产量和单件成本最大的产量
B.利润最大的产量和单件成本最小的产量
C.利润最小的产量和单件成本最大的产量
D.利润最小的产量和单件成本最小的产量
15、应用随机数进行模拟试验的方法是()
A.蒙特卡洛法
B.最小二乘法
C.普赖姆法
D.单纯形法
二、填空题 每空1分,共10空参考答案见试卷末尾
1、判断预测法一般包括()和专家小组法
2、决策树中,()结点是决策结点
3、缺货是指仓库中已没有某项存货可以满足生产需要或()时的状况
4、仅在没有竞争改变转移概率()的情况下,才能达到市场份额平衡的条件
5、对于需求量小于供应量的运输问题,任何一个供应点到虚设的需求点的单位运费都()
6、蒙特卡洛法是一个模拟技术,它用一系列的随机数创造( )函数。
7、对于管理领域,运筹学也是对管理决策工作进行决策的( )方法。
8、图中用()表示所要研究的对象
9、线性盈亏平衡分析是以所有成本都能分为固定的和()的两个组成部分为前提
10、均匀随机数是均匀分布随机变量的()数
三、名词解释 每小题3分,共5小题参考答案见试卷末尾
1、定性决策
2、保管费用
3、关键线路
4、马尔柯夫分析
5、随机变量
四、计算题一参考答案见试卷末尾
1、某企业研制一新款电动自行车,前5个月每辆自行车的生产成本依此为:565元、555元、545元、550元、540元,试用简单滑动平均数预测法,预测第6个月该新款电动自行车的生产成本
2、某企业计划生产某款净水器,拟定的价格有A1、A2、A3三个方案,预计进入市场后可能的销售状态有三种,收益值表如题32表所示,试以最大期望收益值决策标准作出该款净水器价格的决策选择
3、某工厂每年需要采购某种原料2000000元,每吨该原料采购单价为500元,已知每订购一次的订购费用是50000元,库存保管费用按年利率计算占平均存货额的20%,试求该企业最佳订货批量和全年最佳订货次数
五、计算题二参考答案见试卷末尾
1、上海一家集团公司在江苏、浙江、安徽同时生产某化工原料,该原料销往四川、云南、广东,产量、销量及单位运价如题34表,试用西北角法求其最初运输方案及相应的总运输费用
2、已知甲、乙、丙三家通讯网络公司对本地提供有线网络服务,今年初分别占有本地市场份额的30%、35%、35%。根据调查,今后甲公司保有其顾客的80%,丧失15%给乙,丧失5%给丙;乙公司保有其顾客的85%,丧失10%给甲,丧失5%给丙;丙公司保有其顾客的80%,丧失10%给甲,丧失10%给丙,试求明年初这三家公司各占多少市场份额
3、已知某款电动自行车在某城市过去100天内销售记录如题36表,试求每种可能的销售量值的概率,并求出累计概率
六、计算题三参考答案见试卷末尾
1、甲厂商生产一种产品的单件可变成本为60元,售价100元,每年固定成本为60万元,求企业盈亏平衡点处的产量及盈亏平衡点时的总可变成本
2、已知连接5个城市的通讯网络设计图如题38图所示,图中线边的数字表示拟建通讯网络的费用,现在要在这5个城市间铺设通讯网络,要求通讯网络的总费用最小,试画出铺设方案并求最小的通讯网络的总费用
七、计算题四参考答案见试卷末尾
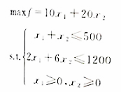
1、某公司利用两种原料A、B生产甲、乙两种产品(吨),各产品所需的原料数,原料限量及单位产品所获利润如题39表。企业目标是追求利润的最大化,试写出该线性规划问题的数学模型,并用图解法求出最优解和最大利润
2、某一项工程有7项活动,有关数据如题40表,试绘制该工程的箭线式网络图,求出各结点的最早开始时间和最迟完成时间,写出关键线路
参考答案:
【一、单项选择题】
1~5 CBACD 6~10 BDCBC
11~15点击安装“计算机信息管理自考APP”查看答案
【二、填空题】
1 特尔斐法 2 方块 3 销售需要 4 矩阵 5 等于0
6~10点击安装“计算机信息管理自考APP”查看答案
【三、名词解释】
1 基本上根据决策人员的主观经验或感受到的感觉或知识而制定的决策。 2 主要是企业自己拥有存货或保管存货所要承担的费用。 3 在所有各条线路的路长中,路长最长的线路。(或指从始点出发,由各个关键活动连续相接,直到终点的线路。) 4 通过分析几种变量现时运动的情况来预计这些量未来运动情况的一种方法。 5 随机变量是具有各种不同数值的一个变量,这些不同数值是在一次随机试验中,作为各种结果之一而出现的。
【四、计算题一】
1 (565+555+545+550+540)/5=551(元) 2
A1方案:EP1=1200×0.3+800×0.5+600×0.2=880(万元)
A2方案:EP2=1000×0.3+1000×0.5+800×0.2=960(万元)
A3方案:EP3=900×0.3+900×0.5+900×0.2=900(万元)
max[880,960,900]=960,企业应以中等价格出售净水器。

【五、计算题二】
1

总费用为S=6×50+4×50+5×100+6×50+5×100=1800(元)。
2

【六、计算题三】
1


路线选择:V2-V1-V5-V3-V4
最小的通讯网络总费用=2+2+2+3=9
【七、计算题四】
1
设生产甲产品x(下标1)吨,乙产品x(下标2)吨,线性规划模型如下:



如果这样刷题不过瘾,请立即安装APP刷题,历年真题、高质量模拟题应有尽有。