自考计算机信息管理的核心课程有马克思主义政治经济学原理,英语(二),管理经济学,网络经济与企业管理,运筹学基础,操作系统概论,数据结构导论,数据库系统原理等。上学吧自考计算机信息管理题库将该考试近10年的历年真题进行了收集和解答,如果您能坚持刷题,必然学有所获,通过考试。现在就点击安装APP刷题。以下为试卷的详细内容:
一、大题标题填空题 每小题1分,共10小题参考答案见试卷末尾
1、运筹学应用多种分析方法,对各种可供选择的方案进行比较评价,为制定最优的管理决策提供__上的依据
2、预测是__的基础,企业预测的目的就是为企业决策提供适当的数据或资料
3、在企业中,管理的__在于决策,决策贯穿于经营管理工作的各个方面
4、库存管理工作的主要内容,就是通过调节和控制存储的输入和输出的关系,来寻求__
5、在单纯形法中,C(下标j)-Z(下标j)行是单纯形表中的判别指数行。若C(下标j)-Z(下标j)为正值,说明X(下标j)变量进入基础解将会使目标函数值__
6、运用网络计划技术进行计算和计划的基础是__
7、为了反映某个地区的铁路交通网分布情况,我们往往在铁路交通图中以点代表城市,以点与点之间的__代表这两个城市之间的铁路线
8、对于由一种情况转换至另外一种情况的过程,若某过程具有转换概率,而且此种转换概率又可以依据紧接的前项情况推算出来,则这种过程称之为__过程
9、盈亏平衡分析是以所有成本都能分为固定的和可变(变动)的两个组成部分为前提的。在这个前提下,总成本与销售量的关系是__
10、模拟是一种定量的过程,它先为过程设计一个模型,然后再组织一系列的__,以预测该过程全部时间里所发生的情况
二、单项选择题 每小题1分,共15小题参考答案见试卷末尾
1、根据决策人员的主观经验或知识而制定的决策,称之为()
A.定量决策
B.定性决策
C.混合性决策
D.满意决策
2、图解法中,可行解区内满足目标函数的解称之为()
A.可行解
B.基础解
C.最优解
D.特解
3、希望在“专家群”中通过匿名方式取得比较一致的意见而采取的定性预测方法属于()
A.指数平滑预测法
B.回归模型预测法
C.专家小组法
D.特尔斐法
4、所谓不确定条件下的决策,是指决策者()
A.不知道将要面对哪些自然状态
B.知道所面对的部分自然状态
C.面对的只有一种自然状态,即关于未来的状态是完全确定的
D.所面对的是,存在一个以上的自然状态,而决策者不了解这些自然状态发生的概率
5、根据库存管理理论,只占全部存货台套数的10%,而就其年度需用价值而言,占全部存货年度需用价值的70%,这类存货台套称为()
A.类存货台套
B.类存货台套
C.类存货台套
D.经济存货单元
6、在库存管理中,“订货提前期内的需求量”称为()
A.前置时间
B.前置时间内的需求量
C.安全库存量
D.经济订货量
7、在线性规划中,凡满足约束条件的解均称之为()
A.可行解
B.基础解
C.最优解
D.特解
8、若某个线性规划问题有最优解,则这个最优解必定是某个基变量组的()
A.可行基解
B.基础解
C.特解
D.可行解
9、在工业产品的成本费用中,燃料动力费属于()
A.不变成本
B.半变动成本
C.固定成本
D.企业管理费
10、综合运用计划评核术和关键路线法的一种先进的计划管理方法称为()
A.网络计划技术
B.图解法
C.最短路线法
D.单纯形法
11、在网络计划技术中,以箭线表示的作业或工序,称之为()
A.线路
B.结点(事项)
C.活动
D.流量
12、网络图中,完成一项活动可能最长的时间,称为()
A.作业时间
B.最乐观时间
C.最保守时间
D.最可能时间
13、在图论中,如果所有的点都可通过相互间的连线而连通,则这种图形称之为()
A.连通图
B.不连通图
C.树图
D.最短路线图
14、对于概率矩阵P,当n→∞时,P(上标n)称之为P的()
A.固定概率矩阵
B.马尔柯夫向量
C.概率向量
D.概率方阵
15、在系统模拟中,应当注意包含在模拟中的一些缺点,比如()
A.由于难于观察到实际环境,模拟可能是惟一可以利用的方法
B.一个良好的模拟系统可能是非常昂贵的
C.实际观察一个系统可能费用过于昂贵
D.不可能有足够的时间来广泛地操作该系统
三、名词解释 每小题3分,共5小题参考答案见试卷末尾
1、定量预测
2、风险条件下的决策
3、松弛变量
4、盈亏平衡点
5、直接费用增长率
四、计算题I 每小题5分,共3小题参考答案见试卷末尾
1、某公司新开发了一种产品,试销5个月后,对该产品的销量统计如下:20,21,23,24,27(箱/月),试依据简单滑动平均数法,预测第6个月该种产品的销售量
2、
某公司拟对新产品生产批量作出决策。现有三种备选方案,未来市场对该产品的需求有四种可能的自然状态,收益矩阵如下表(单位:万元)。试以最大最小决策标准作出最优生产批量决策
3、某公司需外购某种零部件,年需求5600件,单价为40元,每个零部件存贮一年的费用为该零部件价格的25%,每次订货费为280元,试求该公司经济订货批量和最优订货间隔期
五、计算题II 每小题5分,共3小题参考答案见试卷末尾
1、根据某箭线式网络图截取的部分图形如题34图,试在各节点的空白处填上正确的节点时间(天)
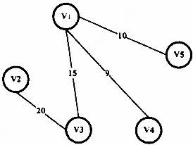
2、已知连接5个城镇的公路交通图如题35图。为了沿公路架设5个城镇的光缆线,并要求光缆线架设的总长度为最小,试以最小枝杈树方法求出最优方案并计算光缆线的总长度
3、某公司现有3个工厂A、B、C,它们分布在3个不同的城市;有2个仓库P、Q,也位于不同的城市,仓库用于存放工厂生产的产品,随时供应用户,每个仓库每月需供应市场2100吨产品。为了更好地为用户服务,该公司决定再设置一个新仓库。经过调查研究和估点法评价,确定X城可建仓库,仓库容量仍为2100吨,相关资料见题36表。试建立供需平衡的运输表,并以西北角法求其最初的运输方案
六、计算题III 每小题7分,共2小题参考答案见试卷末尾
1、某设备公司计划期内安排A、B两种产品生产,有关资源消耗及可获利润(千元/件)如题37表,该公司希望实现利润最大化。建立该问题的线性规划数学模型并用图解法求出最优解
2、将题37线性规划问题转换为标准形式,以原点为基础求出基础可行解,并建立初始单纯形表
七、计算题四 每小题8分,共2小题参考答案见试卷末尾
1、某企业安排设备大修理活动,活动顺序与时间明细表如题39表。试编绘设备大修理的网络图
2、在你为题39所绘制的网络图中标出各结点时间参数,确定关键路线并用双线(或粗黑线)表示,计算总工期及各项活动最早完成时间
参考答案:
【一、大题标题填空题】
1 数量 2 决策 3 关键 4 最佳的经济效益 5 增加
6~10点击安装“计算机信息管理自考APP”查看答案
【二、单项选择题】
1~5 BCDDA 6~10 BAABA
11~15点击安装“计算机信息管理自考APP”查看答案
【三、名词解释】
1 根据历史数据和资料,应用数理统计方法来预测事物的未来,或者利用事物发展的因果关系来预测事物的未来。 2 满足下列条件的决策问题为风险条件下的决策;(1)有一个明确的决策目标,如收益最大或损失最小;(2)存在多个(两个以上)可行方案:(3)存在多个不以人们意志为转移的自然状态,并且每个自然状态可以估算出它的概率值;(4)不同可行方案在不同状态下的收益值或损失值可以定量地计算出来。(注:每个要点1分,答全得3分) 3 运用单纯形法求解线性规划问题时,为了将大于等于某确定值的约束条件改写为等式而引进的辅助变量。 4 是指在盈亏分析中,企业经营达到这一点时,总销售额和总成本完全相等。 5 即指下列比率:(活动的极限费用-正常费用)/(正常时间-极限时间)。
【四、计算题I】
1 X=(20+21+23+24+27)/5=23(箱/月)第6个月该种产品的销售量预测为23(箱/月)。 2 先从每个方案中选择一个最小收益值。S1=-6S2=3S3=1再从三个方案的最小收益值中选取一个最大的收益值:S2=3。所以,依最大最小准则S2方案应当为备选方案。 3 N=72*280*560/(40*25%)=560(件)T=560/5600=0.1(年)全年最佳订货次数= 5600÷560= 10(次)最优订货间隔期= 365/10= 36.5(天)
【五、计算题II】
1
各节点实践如图:

最小枝杈树方法求出最优方案如下:

光缆线的总长度=54(公里)
3

【六、计算题III】
1
线性规划问题的数学模型:

线性规划问题的标准形式:

【七、计算题四】
1

在答39图上标出各节点时间参数。关键路线B,D,E,F。总工期19天。

如果这样刷题不过瘾,请立即安装APP刷题,历年真题、高质量模拟题应有尽有。