自考国际贸易是为我国市场经济建设的需要,有计划地培养对外贸易工作的应用人才而设置的。旨在专业培养和造就从事我国各行业对外贸易工作的应用型专门人才。主要学习国际贸易与实务相关方面的基本理论和基本知识,培养考生具有从事国际贸易活动的基本技能和方法。上学吧自考国际贸易根据热门考点,将试题精心进行了分析、整理和编辑,希望考生可以坚持刷题,学有所获。现在就点击安装APP刷题。以下为试卷的详细内容:
一、单项选择题(每小题10分,共20分)参考答案见试卷末尾
1、设X与Y的联合分布律为
则有()
A.X与Y不独立
B.X与Y独立
C.E(X)=1
D.E(X)=2
2、假设检验时,若增大样本容量,则犯两类错误的概率()
A.都增大
B.都减小
C.都不变
D.—个增大,一个减小
3、设随机变量X服从参数为2的泊松分布,
,且X,Y相互独立,则D(X—3Y—2)=()
A.-15
B.15
C.19
D.18
4、A和B为随机事件,则AUB表示()
A.A与B至少有一个发生
B.不可能事件
C.A与B恰有一个发生
D.A与B不同时发生
5、总体
为样本,按照有效性的标准,下面四个关于
的无偏估计中最好的一个是()
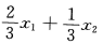
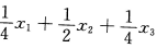
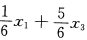
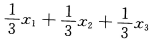
A.
B.
C.
D.
6、
A.
B.
C.
D.
7、随机变量A与B互不相容,且P(A)>0,P(B)>0,则()
A.P(A)=l-P(B)
B.
C.P(AUB)=1
D.
8、
A.
B.
C.
D.
9、设X~N(0,1),X的分布函数为
(X),则
(0)=()
A.1
B.0
C.
D.1/2
10、
A.
为非负
B.
为整数
C.
D.
参考答案:
【一、单项选择题】
1~5 ABDAD 6~10 ADDD
如果这样刷题不过瘾,请立即安装APP刷题,历年真题、高质量模拟题应有尽有。