自考教育管理的核心考试课程有中国近现代史纲要、马克思主义基本原理概论、教育管理原理、教育评估和督导、教育经济学、教育统计与测量、教育管理心理学、教育法学、中外教育管理史、教育科学研究方法(二)、教育预测与规划、毕业论文(实践考核)等。上学吧自考教育管理题库将这一块板块的历年真题进行了收集和解答,如果您能坚持刷题,必然学有所获。现在就点击安装APP刷题。以下为试卷的详细内容:
一、单项选择题 每小题2分,共14小题参考答案见试卷末尾
1、利用实际获得的样本数据资料来对总体的数量特征与关系作出推论判断的统计方法是 ( )
A.推断统计
B.描述统计
C.应用统计
D.数理统计
2、教育测量的特点是()
A.直接性、抽样进行
B.间接性、总体进行
C.直接性、总体进行
D.间接性、抽样进行
3、适用于描述某种事物在时间序列上的变化趋势,或描述一种事物随另一种事物发展变化的趋势模式的统计分析图是 ( )
A.散点图
B.线形图
C.条形图
D.圆形图
4、25. 下列数据中,能表明量的相对大小,还具有相等的单位,但不能用乘、除法运算的是 ( )
A.称名变量数据
B.顺序变量数据
C.等距变量数据
D.比率变量数据
5、25. 假设要反映8岁男童在身体方面的变化究竟是身高差异程度大,还是体重差异程度大,可以使用的特征量数是 ( )
A.平均数
B.差异系数
C.标准差
D.平均差
6、能反映各组数据的百分比结构的统计量表是 ( )
A.简单次数分布表
B.相对次数分布表
C.累积次数分布表
D.绝对次数分布表
7、英国著名的统计学家皮尔逊和英国著名的科学家高尔顿在研究中提出了()
A.积差相关分析法
B.等级相关分析法
C.点二列相关分析法
D.列联相关分析法
8、19. 下列属于发展常模的是 ( )
A.百分等级常模
B.标准分数常模
C.年级常模
D.组内常模
9、创造力测验主要测量()
A.发散性思维
B.智力
C.逻辑思维
D.逆向思维
10、概率分布的表示方法一般不包括()
A.列表法
B.描述法
C.图示法
D.函数法
11、T分数的平均分和标准差分别为 ( )
A.(50,10)
B.(10,50)
C.(15,100)
D.(100,15)
12、在统计决策中,把虚无假设属真却被拒绝的错误称为()
A.真实错误
B.Ⅱ型错误
C.I型错误
D.纳伪错误
13、5. 下列中关于双侧检验描述不正确的是 ( )
A.在抽样分布的两尾各有一个临界值
B.显著性水平值平均分布在抽样分布的两尾
C.在抽样分布的两尾各有一块危机域
D.检验目的是为了判断某个总体参数是否大于某个定值
14、下列叙述方差分析的条件中,正确的是()
A.总离均差平方和的可分解性
B.样本正态性
C.总体的随机性
D.方差不一致性
二、名词解释 每小题3分,共4小题参考答案见试卷末尾
1、相对评分分数
2、内容效度
3、总体
4、16. 小概率事件原理
三、简答题 每小题6分,共3小题参考答案见试卷末尾
1、11. 简述等级相关的适用范围。
2、简述标准化成就测验的概念及测验标准化的环节
3、7. 简述影响样本对总体代表性的主要因素。
四、计算题 每小题6分,共3小题参考答案见试卷末尾
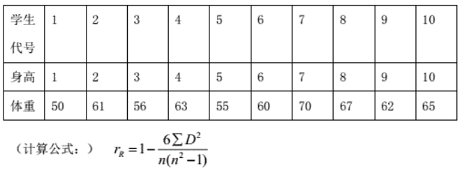
1、某位同学认为身高和体重存在密切关系,并抽样调查得到下列数据(身高从高到低排列,为等级数据,体重单位为千克),试计算二者的相关系数并判断其关系密切程度。(无需对计算所得的相关系数作假设检验,计算保留到小数点后两位数)
2、某人格测验信度系数rxx=0.84,测验分数标准差为15分: (1)求测验的测量标准误; (2)若甲、乙、丙三人所测成绩分别为127分,130分,135分,计算他们的真分数所可能落在的分数区间
3、假设某学生在中考中,语文成绩为110分,数学成绩为125分,现所有考生的语文平均成绩为90分,标准差为10分;数学平均成绩为100分,标准差为15分,试问该生哪门学科的成绩更优
五、综合应用题参考答案见试卷末尾
1、为了研究父母吸烟对子女吸烟是否有显著性影响,随机调查了160名青少年及其家长,数据如下表所示,试问:子女吸烟与父母吸烟之间是否存在某种联系(df=l,X20.05=3.84,结果保留到小数点后两位数)
六、论述题参考答案见试卷末尾
1、6. 试述心理测验的主要用途并联系实际说明其在学校教育领域中的应用。
参考答案:
【一、单项选择题】
1~5 ADBCB 6~10 BACAB
11~14点击安装“教育管理专业自考APP”查看答案
【二、名词解释】
1 通过被试间相互比较而确定意义的分数。 2 测验项目构成应测行为领域代表性样本的程度。 3 客观世界中具有某种共同特征的元素的全体。 4 认为小概率事件在一次抽样中不可能发生的原理。
【三、简答题】
1 (1)两列观测数据都是顺序变量数据,或其中一列数据是顺序变量数据,另一列数据是连续变量的数据;(2)两个连续变量的观测数据,其中有一列或两列数据的获得,主要依靠非测量方法进行粗略评估得到。 2 (1)是由专家编制的,按照系统的科学程序组织实施、建立统一的标准并对测量误差作了严格控制的学业成就测验;(2)是指测验全过程标准化,包括命题标准化、施测标准化、评分标准化和分数使用解释的标准化四个环节。(或者:包括制订成就标准、编写测验大纲或测验指导手册、设计测验蓝图、命题与制卷、施测与评分、结果解释与使用等环节) 3 (1)总体本身的离散性;(2)样本容量;(3)抽样方法。
【四、计算题】
1



【五、综合应用题】
1

【六、论述题】
1 主要用途:(1)人才选拨;(2)人员安置与人事管理;(3)临床心理学研究;(4)学校心理服务;(5)建立和检验假设。
如果这样刷题不过瘾,请立即安装APP刷题,历年真题、高质量模拟题应有尽有。