自考国际贸易是为我国市场经济建设的需要,有计划地培养对外贸易工作的应用人才而设置的。旨在专业培养和造就从事我国各行业对外贸易工作的应用型专门人才。主要学习国际贸易与实务相关方面的基本理论和基本知识,培养考生具有从事国际贸易活动的基本技能和方法。上学吧自考国际贸易根据热门考点,将试题精心进行了分析、整理和编辑,希望考生可以坚持刷题,学有所获。现在就点击安装APP刷题。以下为试卷的详细内容:
一、单选题参考答案见试卷末尾
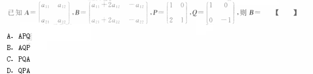
1、
2、有一个是符合题目要求的。请将其代码填写在题后的括号内。错选、多选或未选均无分。
A.k≠O
B.k≠±l
C.k≠0且k≠士l
D.k≠0或k≠士l
3、n元线性方程组Ax=O有非零解的充要条件是 ( )
A.方程个数m B.方程个数m>n C.方程个数m=n D.秩(A) 4、 5、 6、 7、 8、 9、 10、 A.1 B.2 C.3 D.0 11、 12、 13、 14、设A是4×6矩阵,r(A)=2,则齐次线性方程组Ax=0的基础解系中所含向量的个数是( ) A.1 B.2 C.3 D.4 15、 16、 17、 18、 19、 A.A的行向量组线性相关 B.A的列向量组线性相关 C.A的行向量组线性无关 D.A的列向量组线性无关 20、 参考答案: 【一、单选题】 1~5 DCDAB 6~10 CDBAC 11~20点击安装“国际贸易自考题库APP”查看答案 如果这样刷题不过瘾,请立即安装APP刷题,历年真题、高质量模拟题应有尽有。


















