自考国际贸易是为我国市场经济建设的需要,有计划地培养对外贸易工作的应用人才而设置的。旨在专业培养和造就从事我国各行业对外贸易工作的应用型专门人才。主要学习国际贸易与实务相关方面的基本理论和基本知识,培养考生具有从事国际贸易活动的基本技能和方法。上学吧自考国际贸易根据热门考点,将试题精心进行了分析、整理和编辑,希望考生可以坚持刷题,学有所获。现在就点击安装APP刷题。以下为试卷的详细内容:
一、单项选择题(本大题共5小题,每小题2分,共10分)在每小题列出的备选项中只有一项是符合题目要求的,请将其选出。参考答案见试卷末尾
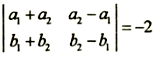
1、设行列式
,则
=()
A.-2
B.-1
C.1
D.2
2、设A等于2阶矩阵,将A的第1行与第2行互换得到矩阵B,再将B的第2行加到第一行得到矩阵C则满足PA=C的可逆矩阵P=()
A.A
B.B
C.C
D.D
3、设向量β=(2,1,b)T可由向量组α1=(1,1,1)T,α2=(2,3,a)T线性表出,则数a,b满足关系式()
A.a-b=4
B.a-b=0
C.a+b=4
D.a+b=0
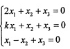
4、设齐次线性方程组
有非零解,则数k=()
A.-2
B.-1
C.1
D.2
5、设3阶实对称矩阵A的秩为2,则A的特征值λ=0的重数为()
A.0
B.1
C.2
D.3
参考答案:
【一、单项选择题】
1~5 BACD
如果这样刷题不过瘾,请立即安装APP刷题,历年真题、高质量模拟题应有尽有。