自考国际贸易是为我国市场经济建设的需要,有计划地培养对外贸易工作的应用人才而设置的。旨在专业培养和造就从事我国各行业对外贸易工作的应用型专门人才。主要学习国际贸易与实务相关方面的基本理论和基本知识,培养考生具有从事国际贸易活动的基本技能和方法。上学吧自考国际贸易根据热门考点,将试题精心进行了分析、整理和编辑,希望考生可以坚持刷题,学有所获。现在就点击安装APP刷题。以下为试卷的详细内容:
一、单项选择题 (本大题共5小题,每小题2分,共10分)在每小题列出的备选项中只有一项是最符合题目要求的,请将其选出。参考答案见试卷末尾
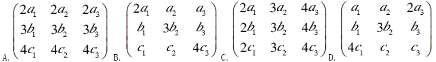
1、
()
A.
B.
C.
D.
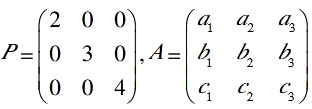
2、设矩阵
.则AP=
3、设向量组ɑ1=(3,-1,a,1),ɑ2=(-6,2,4,b)线性相关,则必有
A.a=-2,b=-2
B.a=-2,b=2
C.a=2, b=-2
D.a=2,b=2
4、设矩阵
,且A的特征值为1与2,则数x,y的取值分别为
A.x=-2,y=0
B.x=0,y=-2
C.x=2,y=0
D.x=0,y=2
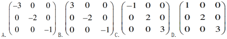
5、下列矩阵中,与矩阵
合同的是
参考答案:
【一、单项选择题】
1~5 DCAD
如果这样刷题不过瘾,请立即安装APP刷题,历年真题、高质量模拟题应有尽有。